Fig. 1.

Download original image
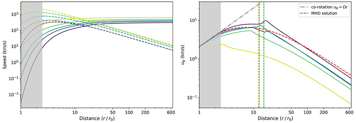
Velocity profiles used for the comparison of the mapping methods. Left panel: radial speed profiles from the iso-poly model are shown as continuous lines (Dakeyo et al. 2022), and empirical Alfvén speed profiles are shown as dashed lines. Right panel: tangential speed profiles that account for corotation near the Sun (Macneil et al. 2022; Koukras et al. 2022). The dashed gray line represents a fully corotational solution (limit case). The pink curve represent an MHD simulation (Réville et al. 2020). The shaded gray region represents the coronal region limited upward by the source surface set at 2.5 R⊙. The dashed vertical colored lines represent the associated Alfvén radii.
Current usage metrics show cumulative count of Article Views (full-text article views including HTML views, PDF and ePub downloads, according to the available data) and Abstracts Views on Vision4Press platform.
Data correspond to usage on the plateform after 2015. The current usage metrics is available 48-96 hours after online publication and is updated daily on week days.
Initial download of the metrics may take a while.