Fig. 2.

Download original image
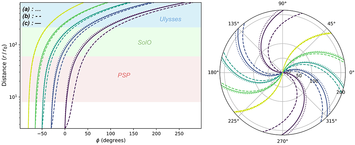
Comparison of the mapping method streamlines. Left panel: streamline angle ϕ in the corotating frame from Eq. (4) of the five iso-poly wind populations presented in Fig. 1. Each iso-poly wind speed population is emitted from a different longitude ϕss = (0°, 30°, 50°, 65°, and 80°) from slow to fast. The streamline angle profiles are computed for the three mapping methods of a ballistic (a), accelerating solar wind (b), accelerating, and corotating solar wind (c). Right panel: Parker spirals (i.e., streamlined spiral) applied to the five iso-poly wind populations until 1 au, with the same line description as in the left panel.
Current usage metrics show cumulative count of Article Views (full-text article views including HTML views, PDF and ePub downloads, according to the available data) and Abstracts Views on Vision4Press platform.
Data correspond to usage on the plateform after 2015. The current usage metrics is available 48-96 hours after online publication and is updated daily on week days.
Initial download of the metrics may take a while.