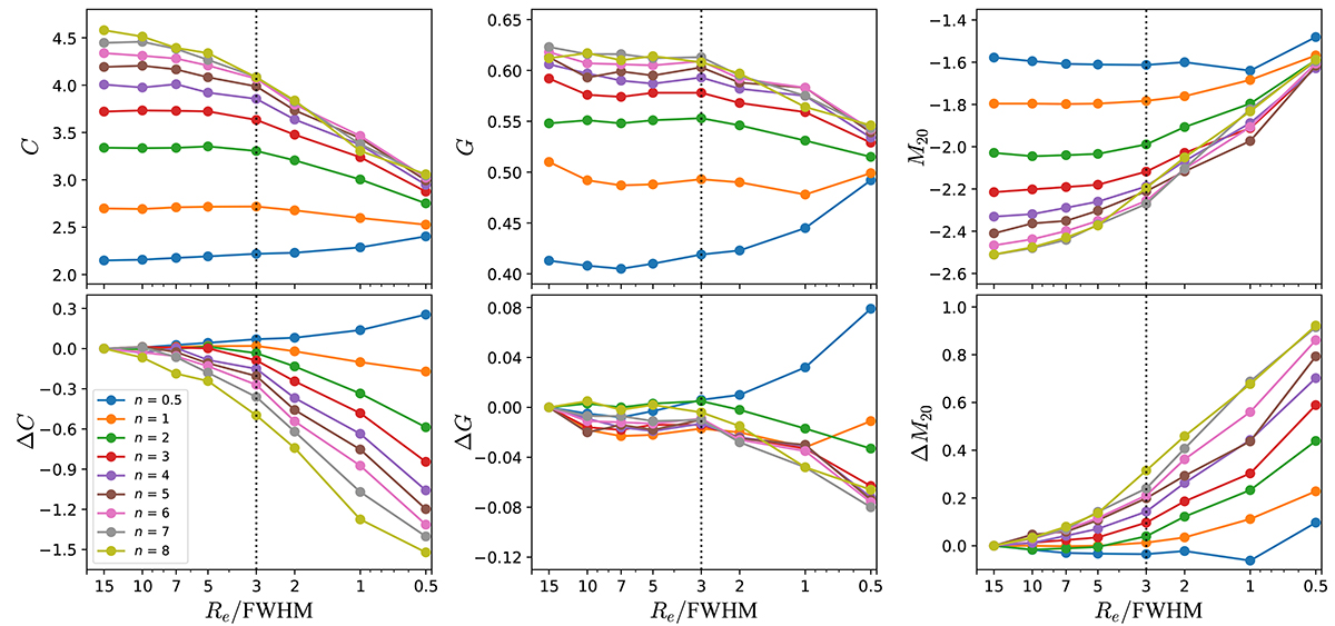
Fig. A.1.

Download original image
Measured concentration index (left), Gini coefficient (middle), and the M20 index (right) for the idealised mock images in the CEERS survey as a function of the relative size of the galaxy (Re/FWHM), with different colours representing different Sérsic indices. The top and bottom rows show the structural parameter (C, G, and M20) and the deviation from the intrinsic values (ΔC, ΔG, and ΔM20), respectively. This trend in each panel is similar to Fig. 15.
Current usage metrics show cumulative count of Article Views (full-text article views including HTML views, PDF and ePub downloads, according to the available data) and Abstracts Views on Vision4Press platform.
Data correspond to usage on the plateform after 2015. The current usage metrics is available 48-96 hours after online publication and is updated daily on week days.
Initial download of the metrics may take a while.