Open Access
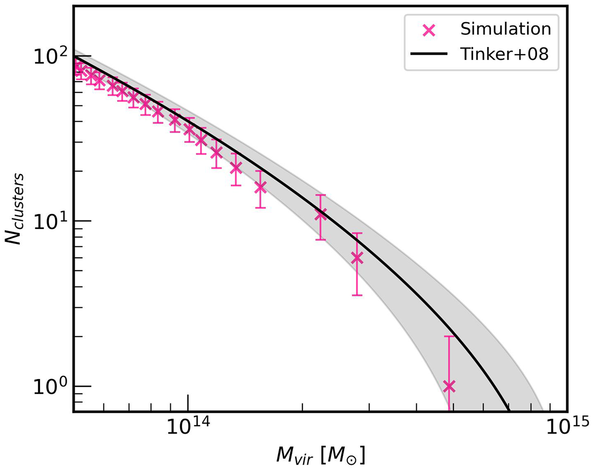
Fig. 1.

Download original image
Cumulative halo mass function at z = 0 of the simulation (points) and the fit (black line) described in Tinker et al. (2008) for the cosmology given in Sect. 2.1 using the COLOSSUS package (Diemer 2018). The errorbars and shaded region correspond to 1σ Poissonian error.
Current usage metrics show cumulative count of Article Views (full-text article views including HTML views, PDF and ePub downloads, according to the available data) and Abstracts Views on Vision4Press platform.
Data correspond to usage on the plateform after 2015. The current usage metrics is available 48-96 hours after online publication and is updated daily on week days.
Initial download of the metrics may take a while.