Fig. 2.

Download original image
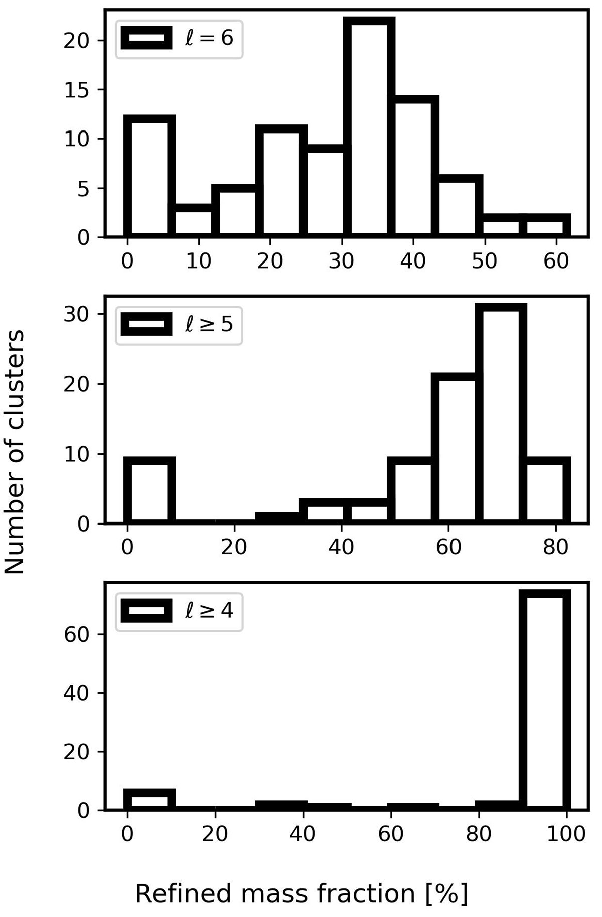
Number of clusters in our sample as a function of the fraction of their mass, within Rvir, that is refined at ℓ = 6 (upper panel), ℓ ≥ 5 (middle panel) and ℓ ≥ 4 (lower panel). To avoid poorly resolved halos from contaminating our results, in our final sample we have removed halos with fℓ = 6 < 15%, fℓ ≥ 5 < 50% and fℓ ≥ 5 < 90%, where fi is the corresponding mass fraction.
Current usage metrics show cumulative count of Article Views (full-text article views including HTML views, PDF and ePub downloads, according to the available data) and Abstracts Views on Vision4Press platform.
Data correspond to usage on the plateform after 2015. The current usage metrics is available 48-96 hours after online publication and is updated daily on week days.
Initial download of the metrics may take a while.