Open Access
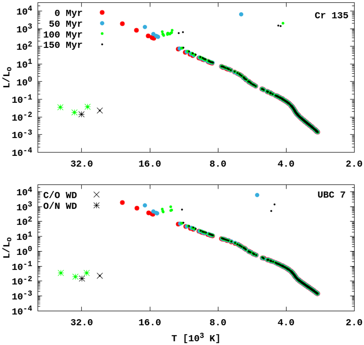
Fig. 5.

Download original image
Hertzsprung-Russell diagrams of Cr 135 and UBC 7 (including all unbound stars). Red dots correspond to an age of 0 Myr, light blue to 50 Myr, green to 100 Myr, and black to 150 Myr. The crosses and the stars show two types of white dwarfs from the N-body simulation.
Current usage metrics show cumulative count of Article Views (full-text article views including HTML views, PDF and ePub downloads, according to the available data) and Abstracts Views on Vision4Press platform.
Data correspond to usage on the plateform after 2015. The current usage metrics is available 48-96 hours after online publication and is updated daily on week days.
Initial download of the metrics may take a while.