Open Access
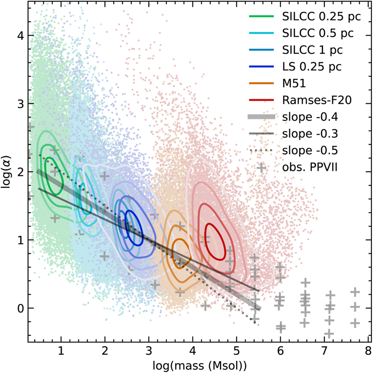
Fig. 13

Download original image
Virial parameter as a function of cloud mass for all simulations. Coloured contour lines are the same as in Fig. 6. Over-plotted are the slope of the scaling (thick grey line), as well as the observational data compiled for the PPVII review (Chevance et al. 2023).
Current usage metrics show cumulative count of Article Views (full-text article views including HTML views, PDF and ePub downloads, according to the available data) and Abstracts Views on Vision4Press platform.
Data correspond to usage on the plateform after 2015. The current usage metrics is available 48-96 hours after online publication and is updated daily on week days.
Initial download of the metrics may take a while.