Open Access
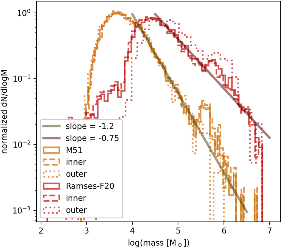
Fig. 5

Download original image
Comparison of the mass distribution of clouds in the inner 7 kpc of a galaxy versus those in the outskirts. While Ramses-F20 overall has a shallower mass spectrum than M51 (and the kpc boxes), there is no difference in the measured slope between the inner and the outer galaxy for either simulation.
Current usage metrics show cumulative count of Article Views (full-text article views including HTML views, PDF and ePub downloads, according to the available data) and Abstracts Views on Vision4Press platform.
Data correspond to usage on the plateform after 2015. The current usage metrics is available 48-96 hours after online publication and is updated daily on week days.
Initial download of the metrics may take a while.