Open Access
Fig. 8

Download original image
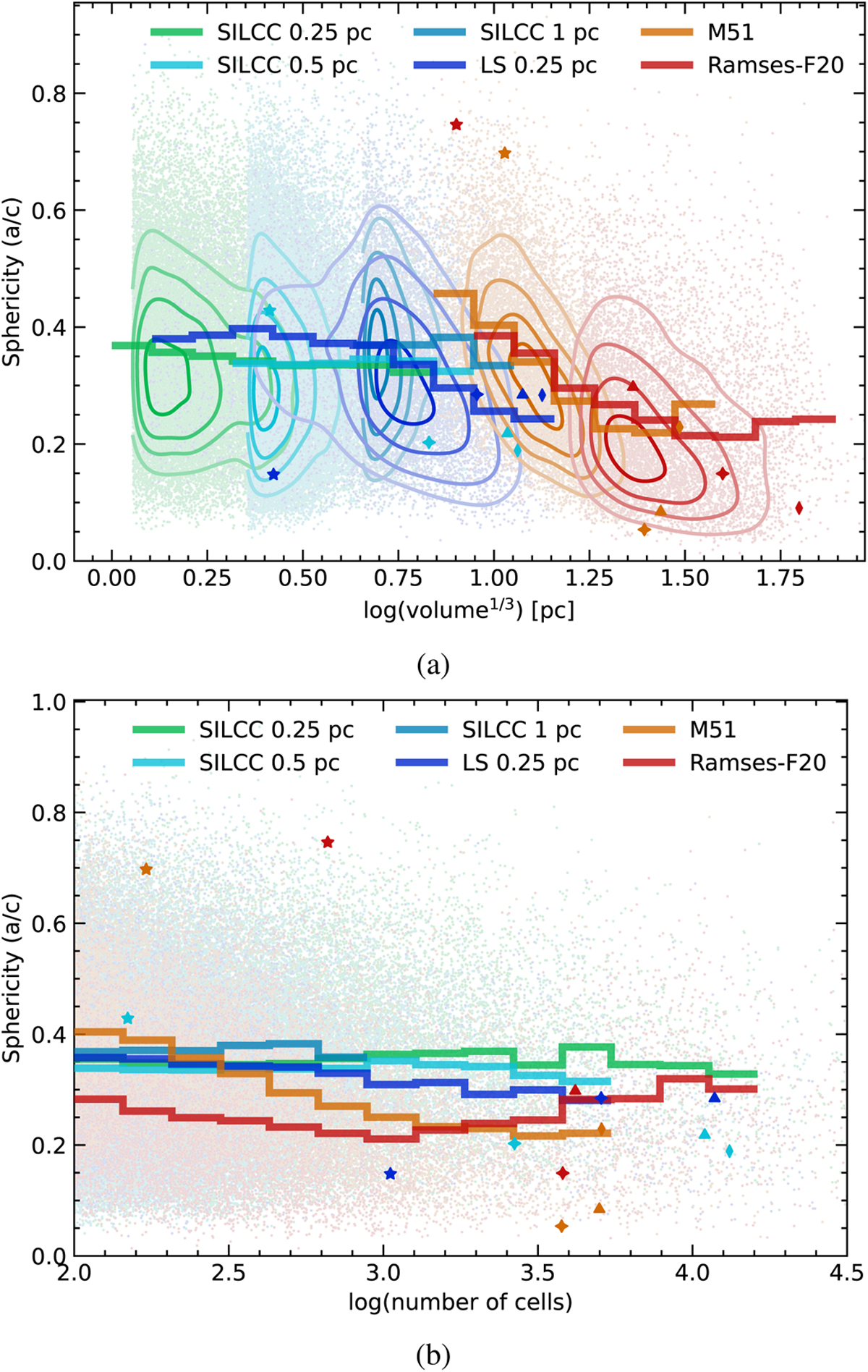
Sphericity as a function of structure size, computed from the volume (a) or the number of cells (b). The solid line depicts the mean in a logarithmic bin of size, and is computed only if the bin contains at least 100 clouds. Contour lines and symbols are as in Fig. 6a.
Current usage metrics show cumulative count of Article Views (full-text article views including HTML views, PDF and ePub downloads, according to the available data) and Abstracts Views on Vision4Press platform.
Data correspond to usage on the plateform after 2015. The current usage metrics is available 48-96 hours after online publication and is updated daily on week days.
Initial download of the metrics may take a while.