Fig. 10

Download original image
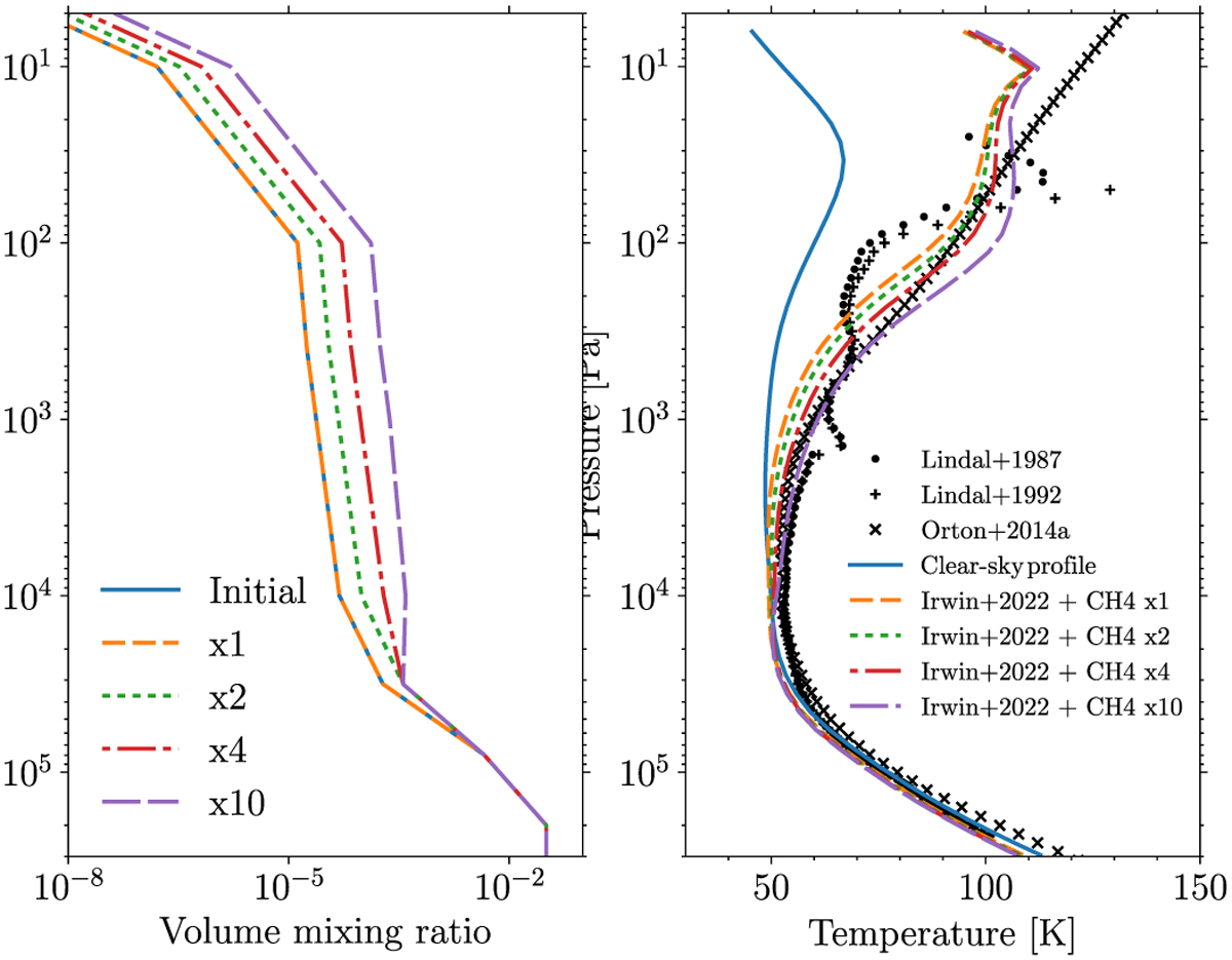
Simulated temperature profiles with different abundance of methane on Uranus with the Irwin et al. (2022) haze scenario. Left: CH4 vmr profile on Uranus (blue line and short dashed orange line) or with that abundance multiplied by a factor of two (dotted green line), four (dotted-dashed red line), ten (long dashed violet line). Right: the corresponding simulated temperature profiles. The solid blue line corresponds to the clear-sky model (see Sect. 3) with a nominal CH4 vmr profile. The black symbols are the observed temperatures described in Fig. 1.
Current usage metrics show cumulative count of Article Views (full-text article views including HTML views, PDF and ePub downloads, according to the available data) and Abstracts Views on Vision4Press platform.
Data correspond to usage on the plateform after 2015. The current usage metrics is available 48-96 hours after online publication and is updated daily on week days.
Initial download of the metrics may take a while.