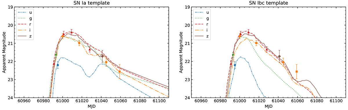
Fig. 8.

Download original image
Example of template fitting with PSNID for a SN Ia and a SN Ib/c model on the same light curve. Different colors and lines refer to different photometric bands. The left panel shows the fitting with the best Ia template, while the right panel shows the best-fitting SN Ib/c template. Although both fits seem reasonable, not allowing a straightforward classification, the type Ia has a Bayesian probability PIa = 1.0 with the redshift prior.
Current usage metrics show cumulative count of Article Views (full-text article views including HTML views, PDF and ePub downloads, according to the available data) and Abstracts Views on Vision4Press platform.
Data correspond to usage on the plateform after 2015. The current usage metrics is available 48-96 hours after online publication and is updated daily on week days.
Initial download of the metrics may take a while.