Fig. 1.

Download original image
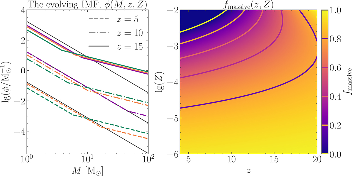
Evolving IMF compared with the Salpeter IMF, and the evolution of the massive fraction with redshift and metallicity. Left: evolving IMF at different absolute metallicities Z = 10−2 (purple lines), 10−3 (orange lines), 10−4 (green lines) and redshifts z = 5 (dashed lines), 10 (dot-dashed lines), and 15 (solid lines). For clarity, the evolving IMFs at z = 10 and 15 have been displaced by lg(ϕ) = 2 and 4, respectively. Thin black lines show the Salpeter IMF at the depicted redshifts. Right: massive fraction fmassive depicted as a function of redshift z and absolute metallicity Z. The top-left corner shows the evolving IMF developing into the Salpeter IMF, where fmassive = 0.
Current usage metrics show cumulative count of Article Views (full-text article views including HTML views, PDF and ePub downloads, according to the available data) and Abstracts Views on Vision4Press platform.
Data correspond to usage on the plateform after 2015. The current usage metrics is available 48-96 hours after online publication and is updated daily on week days.
Initial download of the metrics may take a while.