Fig. 13.

Download original image
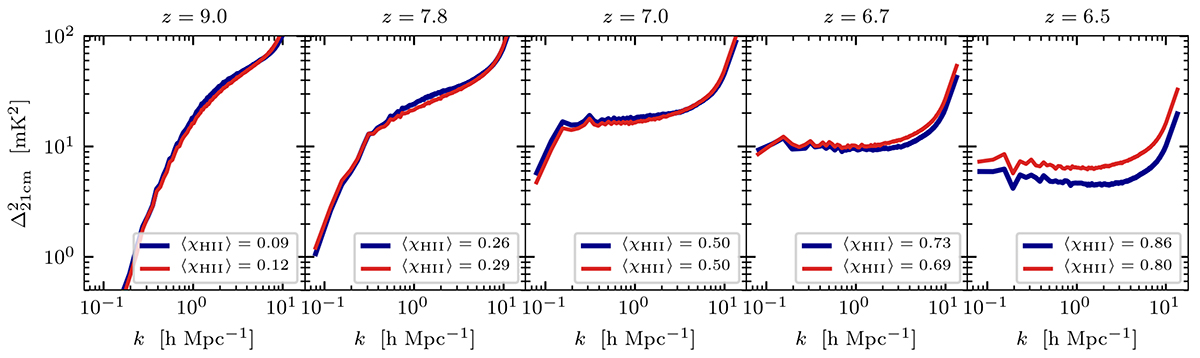
21cm power spectra at fixed redshifts z using the best-fit parameters noted in Table 1. In each panel, we show results for our two IMF models studied in this work: evolving IMF (dark blue solid line) and Salpeter IMF (red solid line). Each panel shows the average volume-averaged H I fraction in each model at that redshift.
Current usage metrics show cumulative count of Article Views (full-text article views including HTML views, PDF and ePub downloads, according to the available data) and Abstracts Views on Vision4Press platform.
Data correspond to usage on the plateform after 2015. The current usage metrics is available 48-96 hours after online publication and is updated daily on week days.
Initial download of the metrics may take a while.