Fig. B.1.

Download original image
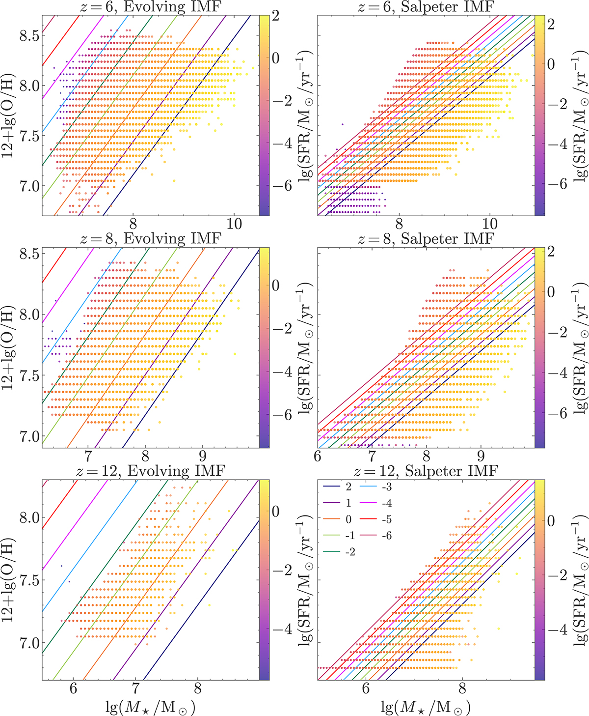
Best-fit high-redshift fundamental planes of metallicity (HFPZ) at z = 6, 8, 12 for the evolving IMF (left) and Salpeter IMF (right) models. Coloured lines show the HFPZ at fixed SFR values, while the tiles depict the median SFR values in the respective stellar mass – metallicity bin according with their colours encoding the SFR value according to the colour bar on the right side of each panel.
Current usage metrics show cumulative count of Article Views (full-text article views including HTML views, PDF and ePub downloads, according to the available data) and Abstracts Views on Vision4Press platform.
Data correspond to usage on the plateform after 2015. The current usage metrics is available 48-96 hours after online publication and is updated daily on week days.
Initial download of the metrics may take a while.