Fig. 2.

Download original image
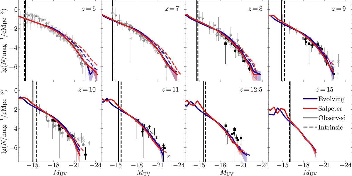
UV luminosity functions (LFs) at z = 6 − 11, 12.5 and 15 for the evolving IMF (blue lines) and the Salpeter IMF (red lines). Dashed lines show the intrinsic UV LFs, while solid lines depict the dust attenuated UV LFs. Vertical black solid and dashed lines denote the UV luminosity thresholds in the evolving IMF and Salpeter IMF simulations, respectively, below which the star formation rates have not converged for all galaxies due to the mass resolution limit of the VSMDPL simulation. Black points show the observational constraints from JWST data: Adams et al. (2024) (hexagons), Bouwens et al. (2023a) (diamonds), Bouwens et al. (2023b) (squares), Casey et al. (2024) (triangles), McLeod et al. (2024) (x’s), Donnan et al. (2023) (circles), Finkelstein et al. (2023) (stars), Willott et al. (2024) (pentagons). Light and dark grey points depict the observational constraints before JWST: Atek et al. (2015) (light stars), Atek et al. (2018) (dark stars), Bouwens et al. (2015) (light squares), Bouwens et al. (2016) (dark squares), Bouwens et al. (2017) (light circles), Bouwens et al. (2021) (dark circles), Bowler et al. (2020) (light x’s), Calvi et al. (2016) (dark x’s), Finkelstein et al. (2015) (light diamonds), Ishigaki et al. (2018) (dark diamonds), Livermore (2016) (light ‘downward’ triangles), Livermore et al. (2017) (dark ‘downward’ triangles), McLure et al. (2009) (light ‘upward’ triangles), McLure et al. (2013) (dark ‘upward’ triangles), Schenker et al. (2013) (light ‘left’ triangles), Schmidt et al. (2014) (dark ‘left’ triangles), van der Burg et al. (2010) (light ‘right’ triangles), Willott et al. (2013) (dark ‘right’ triangles).
Current usage metrics show cumulative count of Article Views (full-text article views including HTML views, PDF and ePub downloads, according to the available data) and Abstracts Views on Vision4Press platform.
Data correspond to usage on the plateform after 2015. The current usage metrics is available 48-96 hours after online publication and is updated daily on week days.
Initial download of the metrics may take a while.