Fig. 6.

Download original image
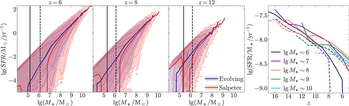
Redshift evolution of the SFR to stellar mass relation. Left: relation between SFR and stellar mass for the Salpeter IMF (red) and evolving IMF (blue). Coloured thick solid lines depict the medians of the distributions of SFRs (coloured contours) at a given stellar mass. Vertical black solid and dashed lines denote the stellar mass threshold in the evolving IMF and Salpeter IMF simulations, respectively, below which the stellar masses have not converged for all galaxies due to the mass resolution limit of the VSMDPL simulation. Right: redshift evolution of the specific SFR for different stellar mass bins with a width of 1 dex for the Salpeter IMF (dashed lines) and evolving IMF (solid lines) models. The value in the panel shows the central value of each stellar mass bin.
Current usage metrics show cumulative count of Article Views (full-text article views including HTML views, PDF and ePub downloads, according to the available data) and Abstracts Views on Vision4Press platform.
Data correspond to usage on the plateform after 2015. The current usage metrics is available 48-96 hours after online publication and is updated daily on week days.
Initial download of the metrics may take a while.