Open Access
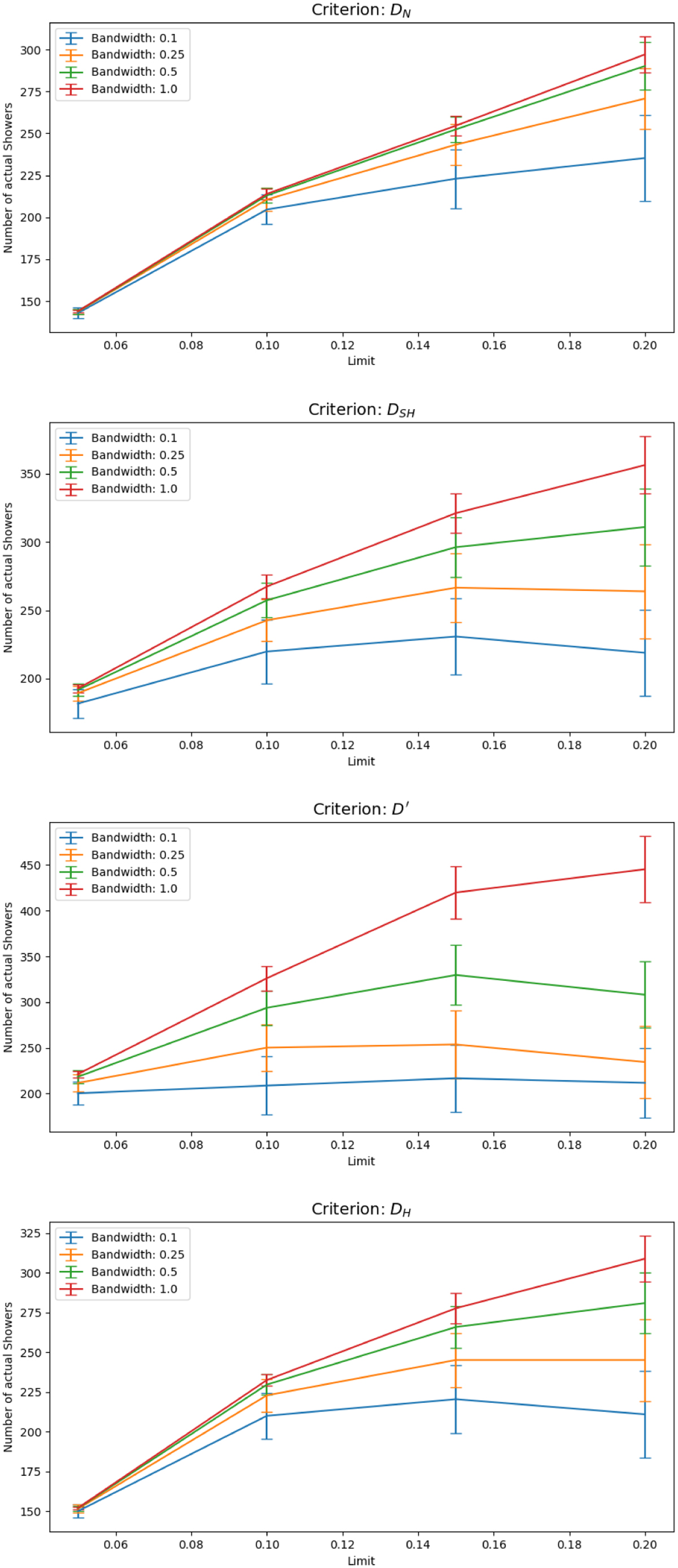
Fig. 4

Download original image
Estimate of the number of true showers associations for the EFN dataset, i.e., the number of fireballs that have D-values below the nominal limit for the observed dataset minus the estimated number of false positives for the given limit.
Current usage metrics show cumulative count of Article Views (full-text article views including HTML views, PDF and ePub downloads, according to the available data) and Abstracts Views on Vision4Press platform.
Data correspond to usage on the plateform after 2015. The current usage metrics is available 48-96 hours after online publication and is updated daily on week days.
Initial download of the metrics may take a while.