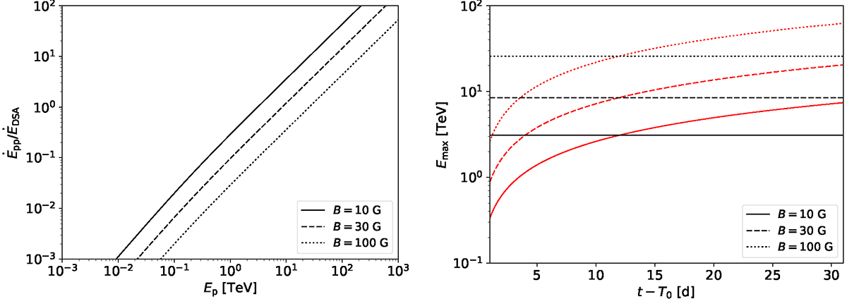
Fig. 11.

Download original image
Impact of proton–proton losses on the maximum energy. Left: ratio Ėpp/ĖDSA as a function of the proton energy for ρ0. Right: maximum CR energy as limited by proton–proton interactions for a flat density profile with density (ρ0, black) or a steady-wind profile (Eq. (6); red), for different magnetic fields. Emax is derived by imposing ĖDSA =Ėpp at the Bohm limit, and employing the parametrisation from Krakau & Schlickeiser (2015) for the proton–proton losses.
Current usage metrics show cumulative count of Article Views (full-text article views including HTML views, PDF and ePub downloads, according to the available data) and Abstracts Views on Vision4Press platform.
Data correspond to usage on the plateform after 2015. The current usage metrics is available 48-96 hours after online publication and is updated daily on week days.
Initial download of the metrics may take a while.