Open Access

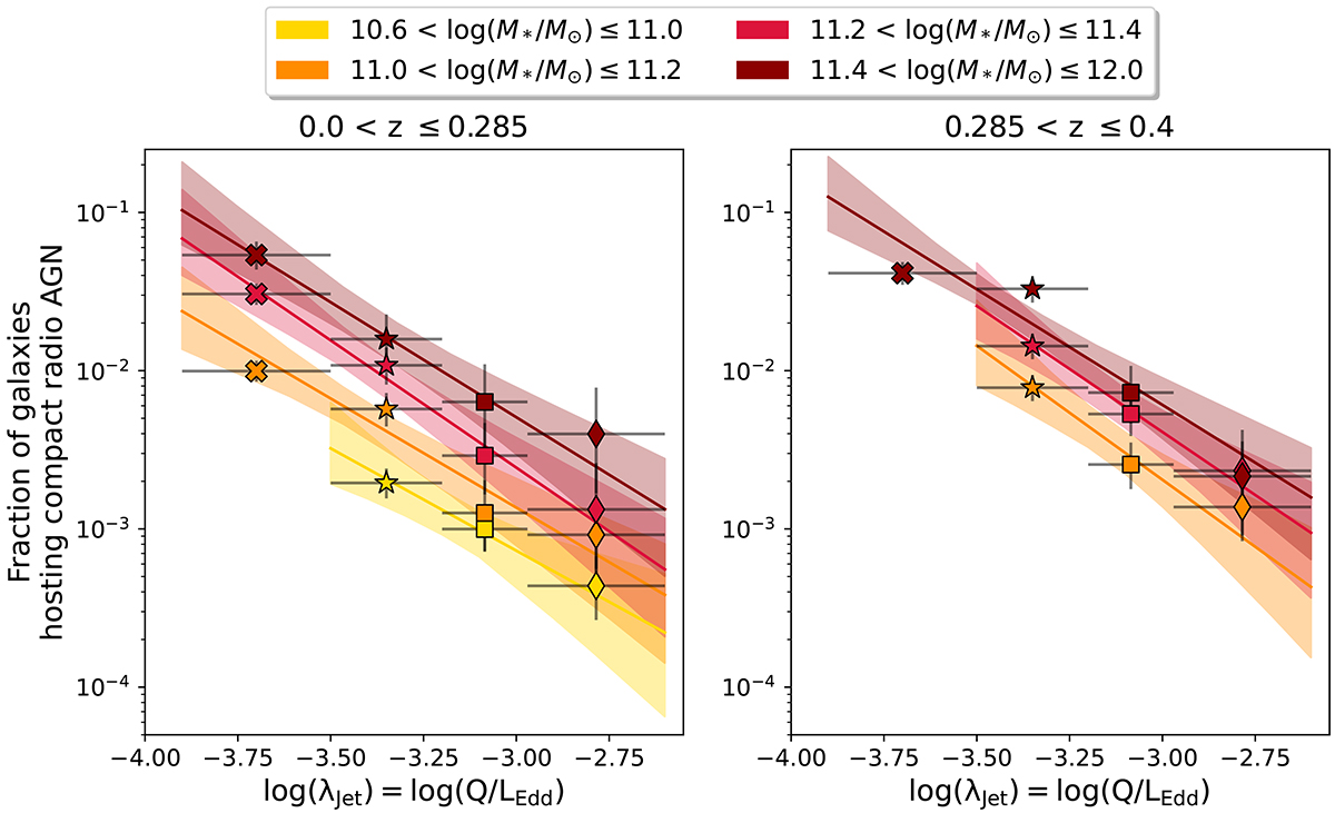
Fig. 19.

image

Download original image

Fraction of GAMA09 galaxies hosting compact radio AGN as a function of the specific black hole kinetic power, λJet, in different stellar mass and redshift bins. The power law fit slope and normalisation values are shown in Fig. 20 and Table 3.

Current usage metrics show cumulative count of Article Views (full-text article views including HTML views, PDF and ePub downloads, according to the available data) and Abstracts Views on Vision4Press platform.

Data correspond to usage on the plateform after 2015. The current usage metrics is available 48-96 hours after online publication and is updated daily on week days.

Initial download of the metrics may take a while.