Open Access
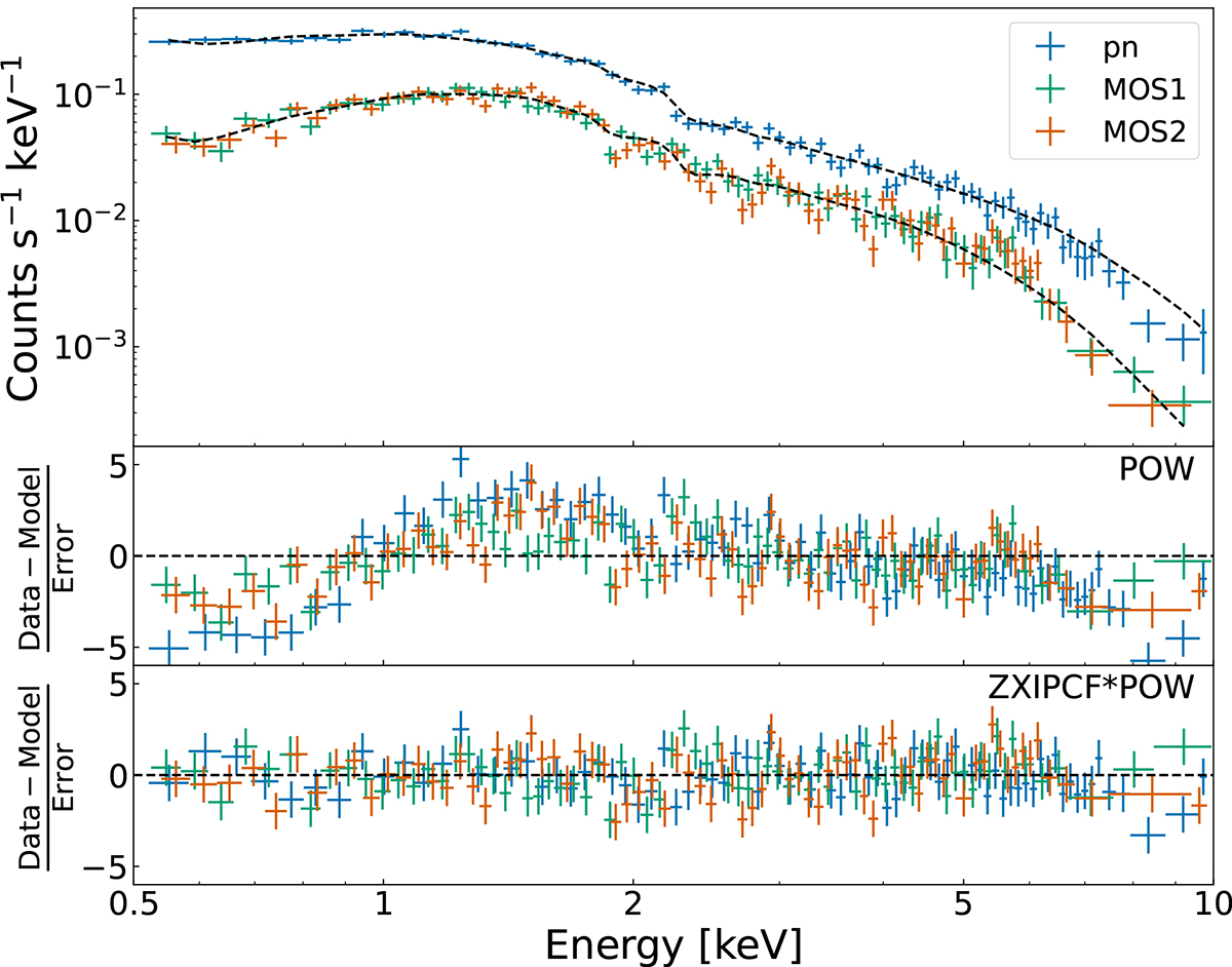
Fig. 2.

Download original image
2005 EPIC spectra of 2M0918. The top panel shows the three spectra, the middle panel shows residuals for the power-law-only model, and the bottom panel shows residuals for the selected absorbed-power-law model.
Current usage metrics show cumulative count of Article Views (full-text article views including HTML views, PDF and ePub downloads, according to the available data) and Abstracts Views on Vision4Press platform.
Data correspond to usage on the plateform after 2015. The current usage metrics is available 48-96 hours after online publication and is updated daily on week days.
Initial download of the metrics may take a while.