Open Access
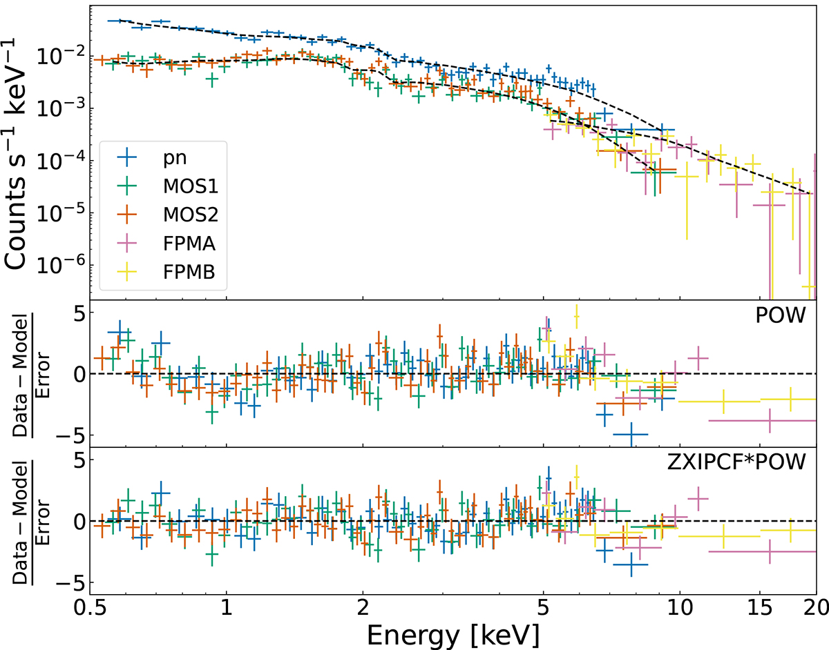
Fig. 5.

Download original image
2020 XMM-Newton and NuSTAR spectra of 2M0918. The first panel shows the five spectra, the second panel shows residuals for the power-law-only model, and the last panel shows residuals for the best model.
Current usage metrics show cumulative count of Article Views (full-text article views including HTML views, PDF and ePub downloads, according to the available data) and Abstracts Views on Vision4Press platform.
Data correspond to usage on the plateform after 2015. The current usage metrics is available 48-96 hours after online publication and is updated daily on week days.
Initial download of the metrics may take a while.