Fig. B.3.

Download original image
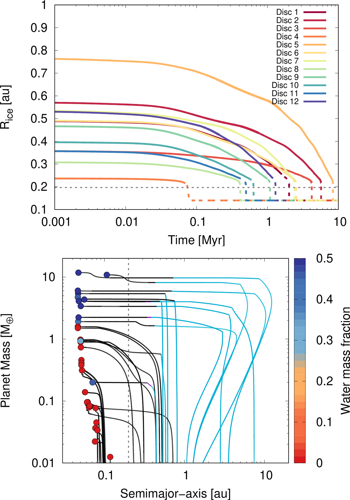
Time evolution of the ice lines for the discs around 0.1M⊙ (top) for the different protoplanetary discs considered in our simulations (see Sect.A.1, for α = 10−4). The ice lines turn from solid to dashed lines when the mid-gap opens in the protoplanetary disc (i.e. when the disc dissipates at the ice line’s location). The horizontal grey dashed line represents the orbit of ∼100 days. Growth tracks of planets forming around 0.1M⊙ that end within the 100-day period (bottom). Black lines indicate that the planet is located inside the ice line, while torquoise lines indicate the planet is beyond the iceline. Clearly, all planets that had accreted some ice started to form beyond a 100-day period.
Current usage metrics show cumulative count of Article Views (full-text article views including HTML views, PDF and ePub downloads, according to the available data) and Abstracts Views on Vision4Press platform.
Data correspond to usage on the plateform after 2015. The current usage metrics is available 48-96 hours after online publication and is updated daily on week days.
Initial download of the metrics may take a while.