Fig. 5.

Download original image
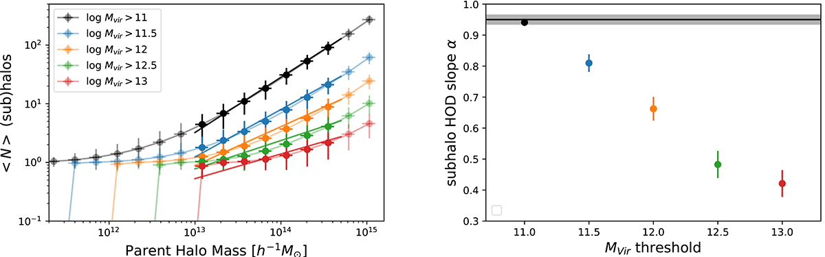
Subhalo HOD shapes for various mass thresholds. Left: average number of subhalos in a parent halo as a function of parent halo mass for several peak virial (sub)halo mass limits. The solid colored lines correspond to the fitted powerlaw in the parent halo mass range 1013 < MVir < 5 × 1014 h−1 M⊙. Right: HOD slopes (α) of each subsample of subhalos, showing the apparent decline of α with mass threshold.
Current usage metrics show cumulative count of Article Views (full-text article views including HTML views, PDF and ePub downloads, according to the available data) and Abstracts Views on Vision4Press platform.
Data correspond to usage on the plateform after 2015. The current usage metrics is available 48-96 hours after online publication and is updated daily on week days.
Initial download of the metrics may take a while.