Open Access
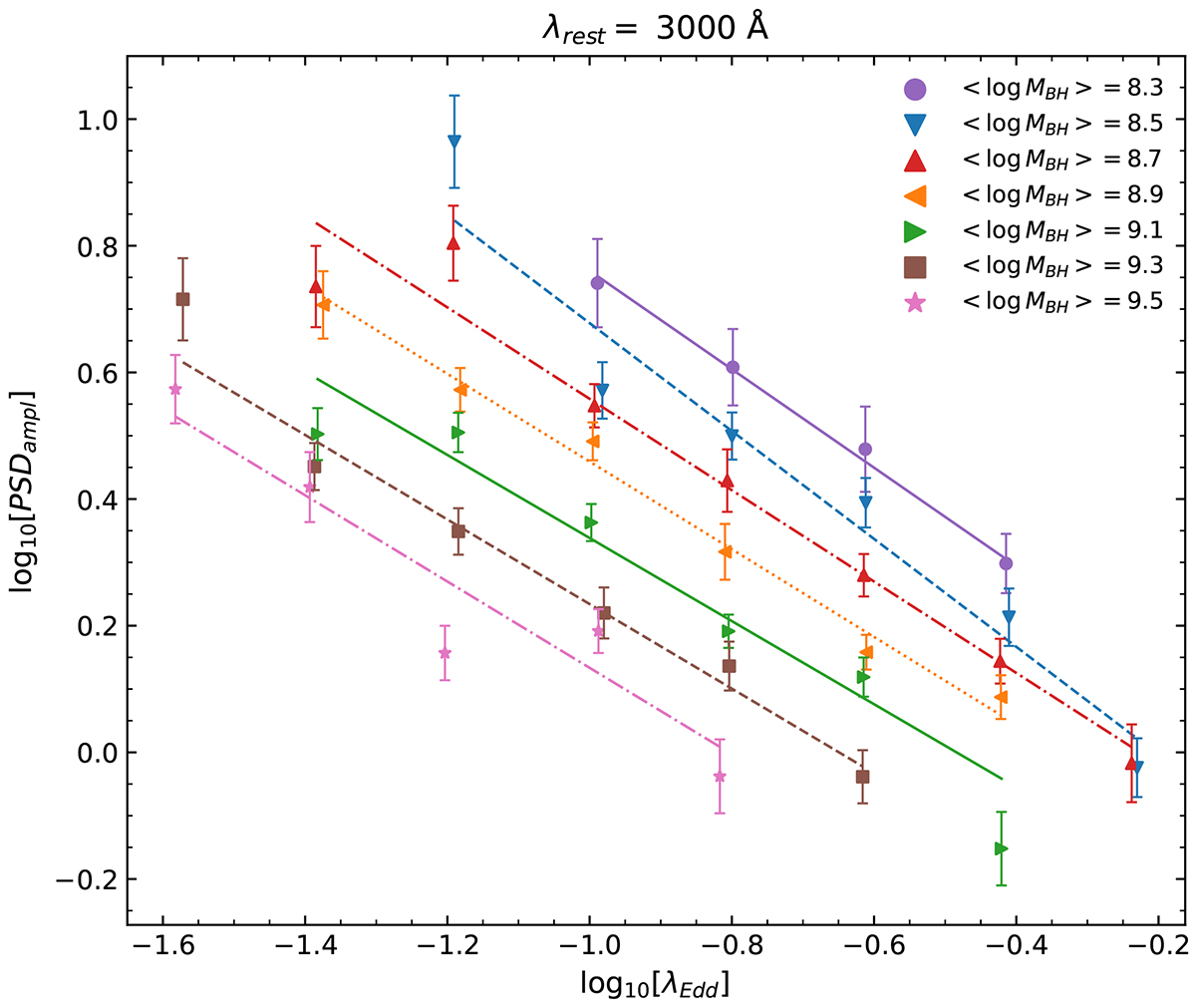
Fig. 10.

Download original image
PSD amplitudes for quasars in different MBH bins (points with different symbols and colours) as a function of λEdd. The effect of anti-correlation with luminosity (accretion rate) is still evident, as well as a dependence on MBH.
Current usage metrics show cumulative count of Article Views (full-text article views including HTML views, PDF and ePub downloads, according to the available data) and Abstracts Views on Vision4Press platform.
Data correspond to usage on the plateform after 2015. The current usage metrics is available 48-96 hours after online publication and is updated daily on week days.
Initial download of the metrics may take a while.