Open Access
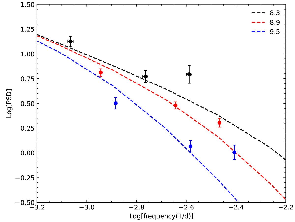
Fig. 18.

Download original image
Power spectra of quasars at 3000 Å with log(λEdd) = 0.1 and three different mass bins: log(MBH) = 8.3, 8.9, and 9.5 (different colours). Points show PSD values measured in this work, while dashed lines are the best-fit models from Arévalo et al. (2024), at 2900 Å.
Current usage metrics show cumulative count of Article Views (full-text article views including HTML views, PDF and ePub downloads, according to the available data) and Abstracts Views on Vision4Press platform.
Data correspond to usage on the plateform after 2015. The current usage metrics is available 48-96 hours after online publication and is updated daily on week days.
Initial download of the metrics may take a while.