Fig. 4

Download original image
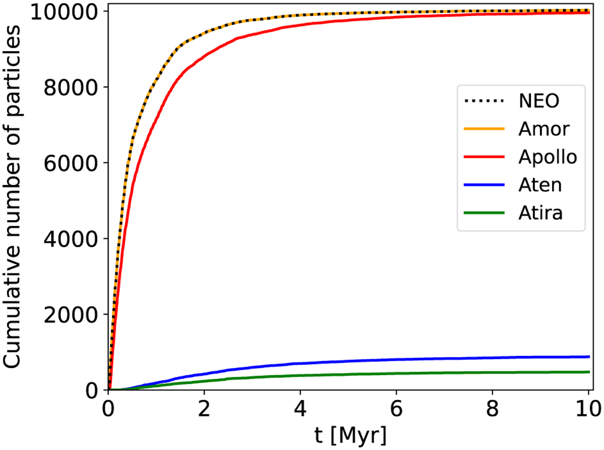
Cumulative numbers of particles that reached q < 1.3 au, divided into four main groups: Amors, Apollos, Atens, and Atiras. A single particle could enter several NEA groups. First entries into these groups are registered at 2 500, 14 500, 166 100, and 236 700 yr, the median times of those entries are approximately 0.31, 0.49, 2.1, and 2.1 Myr, and the total numbers of bodies reaching these groups are 10 025, 9 957, 875, and 474, respectively.
Current usage metrics show cumulative count of Article Views (full-text article views including HTML views, PDF and ePub downloads, according to the available data) and Abstracts Views on Vision4Press platform.
Data correspond to usage on the plateform after 2015. The current usage metrics is available 48-96 hours after online publication and is updated daily on week days.
Initial download of the metrics may take a while.