Fig. 1.

Download original image
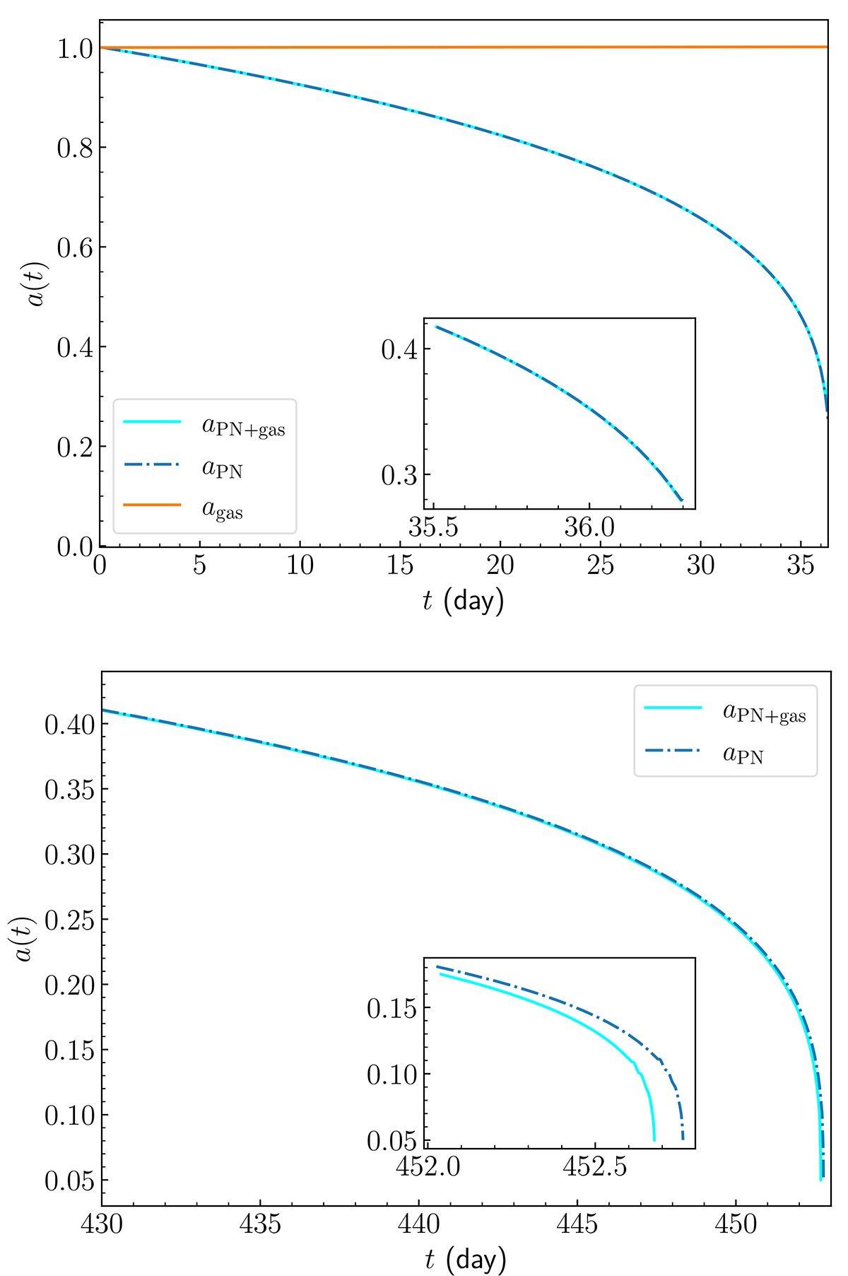
Evolution of binary semi-major axis. The orange line shows the evolution caused by the mere interaction with the gaseous disc with H/R = 0.1 in the Newtonian simulation (see right panel of Fig. 2 in Franchini et al. 2022). The cyan line shows the evolution including both the PN corrections and the gaseous torque, while the blue dot-dashed line shows the evolution caused by PN corrections only. The inset shows the deviation due to the gas torque on the binary. The upper panel refers to the warm disc simulation, where the gas is expanding the binary, while the lower panel shows the cold disc case, where the binary inspiral is aided by the gaseous disc.
Current usage metrics show cumulative count of Article Views (full-text article views including HTML views, PDF and ePub downloads, according to the available data) and Abstracts Views on Vision4Press platform.
Data correspond to usage on the plateform after 2015. The current usage metrics is available 48-96 hours after online publication and is updated daily on week days.
Initial download of the metrics may take a while.