Open Access
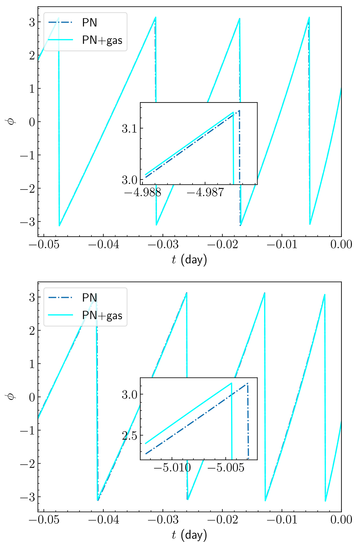
Fig. 2.

Download original image
Orbital phase shift between run with warm (upper panel) and cold (lower panel) gaseous disc contribution to the binary evolution (cyan line) and the one where we only integrate the PN binary orbit (blue dot-dashed line). The inset shows a zoomed-in view of the dephasing five days prior to merger.
Current usage metrics show cumulative count of Article Views (full-text article views including HTML views, PDF and ePub downloads, according to the available data) and Abstracts Views on Vision4Press platform.
Data correspond to usage on the plateform after 2015. The current usage metrics is available 48-96 hours after online publication and is updated daily on week days.
Initial download of the metrics may take a while.