Open Access
Fig. 2.

Download original image
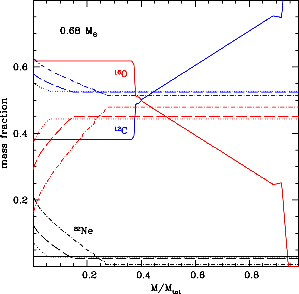
12C, 16O, and 22Ne abundance profiles across 0.68 M⊙ WD models at the start of the cooling sequence (solid lines), at the end of the distillation process (dash-dotted lines), and at two intermediate stages (dotted and dashed lines in order of decreasing core temperature; see the main text for details).
Current usage metrics show cumulative count of Article Views (full-text article views including HTML views, PDF and ePub downloads, according to the available data) and Abstracts Views on Vision4Press platform.
Data correspond to usage on the plateform after 2015. The current usage metrics is available 48-96 hours after online publication and is updated daily on week days.
Initial download of the metrics may take a while.