Open Access
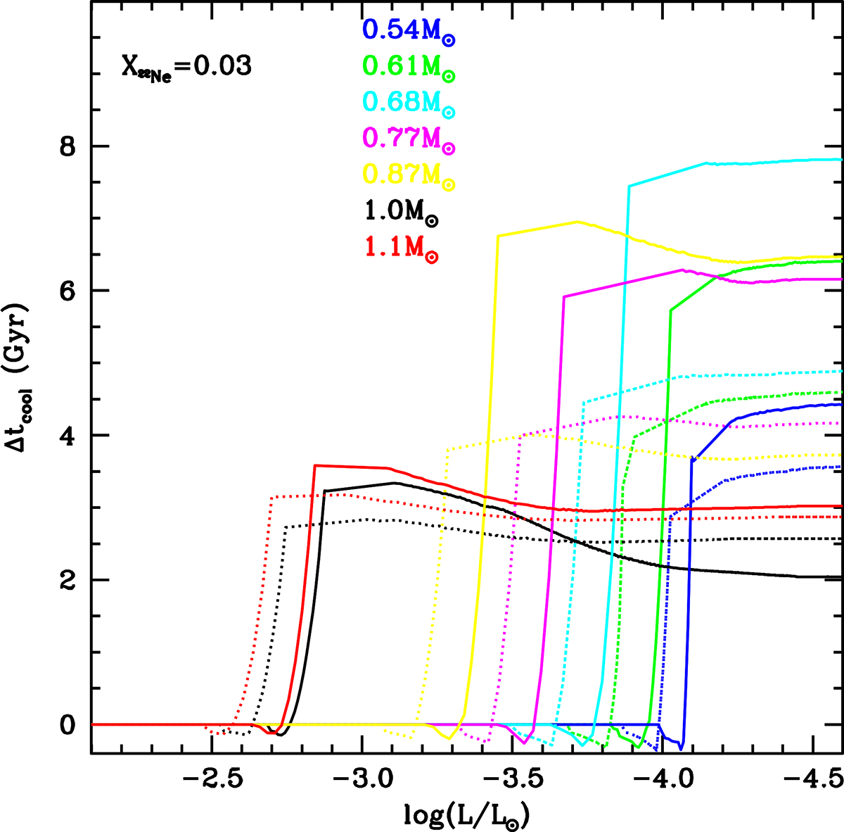
Fig. 4.

Download original image
Difference in cooling times as a function of luminosity between WD models (masses are as labelled) calculated with and without 22Ne distillation, using either the c07 (solid lines) or b20 opacities (dotted lines).
Current usage metrics show cumulative count of Article Views (full-text article views including HTML views, PDF and ePub downloads, according to the available data) and Abstracts Views on Vision4Press platform.
Data correspond to usage on the plateform after 2015. The current usage metrics is available 48-96 hours after online publication and is updated daily on week days.
Initial download of the metrics may take a while.