Open Access
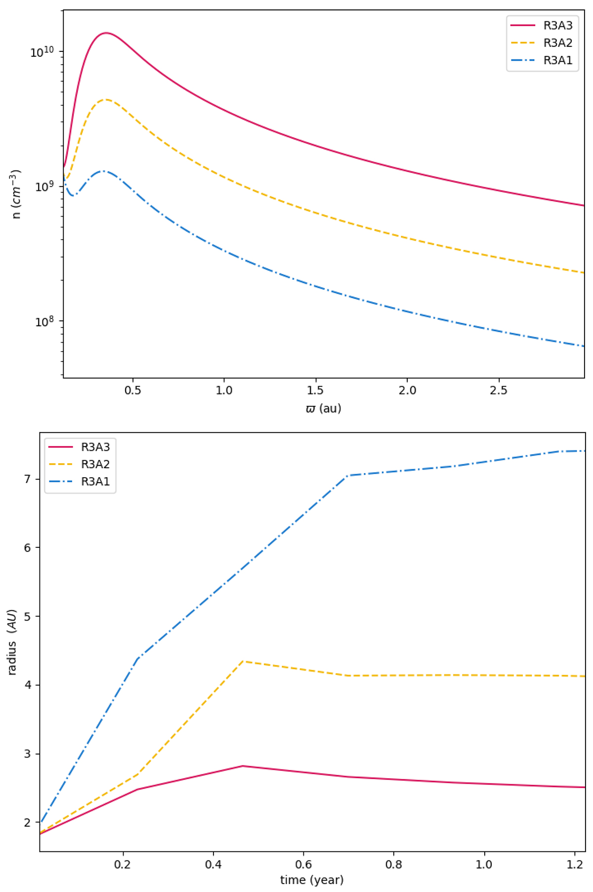
Fig. 8.

Download original image
(a) Effect of different normalizations on the disk density. (b) Evolution of the radius with respect to time. Lowest values of the radius are from R3A3, the highest jet radii are given by R3A1. And in between the jet radii from R3A2. the radii are extracted at the radial boundary, close to 10 au on the axis.
Current usage metrics show cumulative count of Article Views (full-text article views including HTML views, PDF and ePub downloads, according to the available data) and Abstracts Views on Vision4Press platform.
Data correspond to usage on the plateform after 2015. The current usage metrics is available 48-96 hours after online publication and is updated daily on week days.
Initial download of the metrics may take a while.