Fig. 2

Download original image
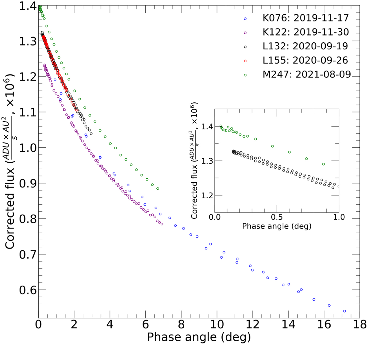
Observations of Phobos opposition effect from five individual SRC observations. Data have been normalized by the exposure time and corrected for heliocentric distance to the square. The insert shows very small phase angle data acquired for orbits L132 and M 247. Data acquired at a phase angle lower than the angular size of the Sun seen from Phobos distance were discarded in the modeling.
Current usage metrics show cumulative count of Article Views (full-text article views including HTML views, PDF and ePub downloads, according to the available data) and Abstracts Views on Vision4Press platform.
Data correspond to usage on the plateform after 2015. The current usage metrics is available 48-96 hours after online publication and is updated daily on week days.
Initial download of the metrics may take a while.