Fig. 6

Download original image
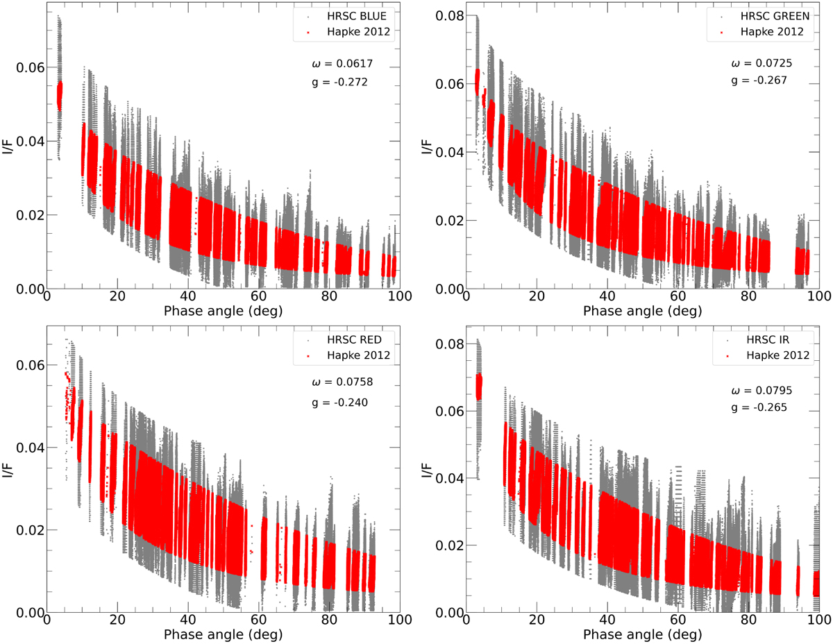
Resolved photometry (gray points) of Phobos with the four calibrated HRSC filters, where each point represents the reflectance of an element of the Phobos surface at a given incidence, emission, and phase angle, with the modeled data superposed in red (Hapke 2012). These simulations were performed using the 3D shape model (Ernst et al. 2023) and the best-fit solution of the Hapke modeling for each filter (Table 3).
Current usage metrics show cumulative count of Article Views (full-text article views including HTML views, PDF and ePub downloads, according to the available data) and Abstracts Views on Vision4Press platform.
Data correspond to usage on the plateform after 2015. The current usage metrics is available 48-96 hours after online publication and is updated daily on week days.
Initial download of the metrics may take a while.