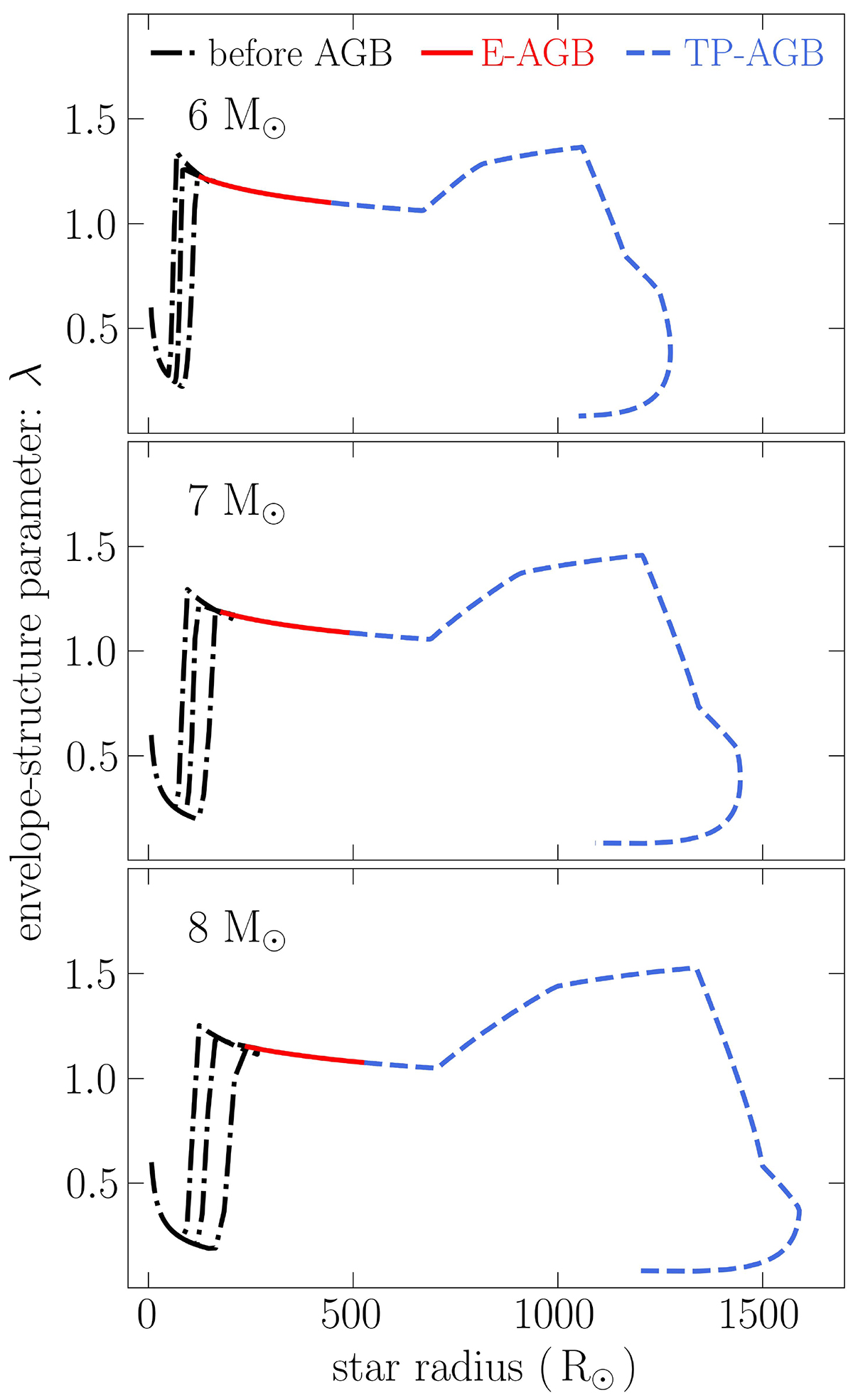
Fig. 3.

Download original image
Evolution of the envelope structure parameter λ with the star radius for different initial masses that are progenitors of the most massive WDs, calculated with the BSE code including only gravitational and thermal energy, for the before AGB (black), early AGB (red), and TP-AGB phases (blue). The values of λ estimated by the BSE code for TP-AGB stars smoothly increase as the star evolves, but are comparable with the values when the star is on the early AGB. In addition, for all these masses, λ ∼ 1.0 − 1.5 during the TP-AGB phase. Only when the star is very close to becoming a WD does λ drop, which is a consequence of a very large core mass fraction at the end of their lives.
Current usage metrics show cumulative count of Article Views (full-text article views including HTML views, PDF and ePub downloads, according to the available data) and Abstracts Views on Vision4Press platform.
Data correspond to usage on the plateform after 2015. The current usage metrics is available 48-96 hours after online publication and is updated daily on week days.
Initial download of the metrics may take a while.