Fig. 9

Download original image
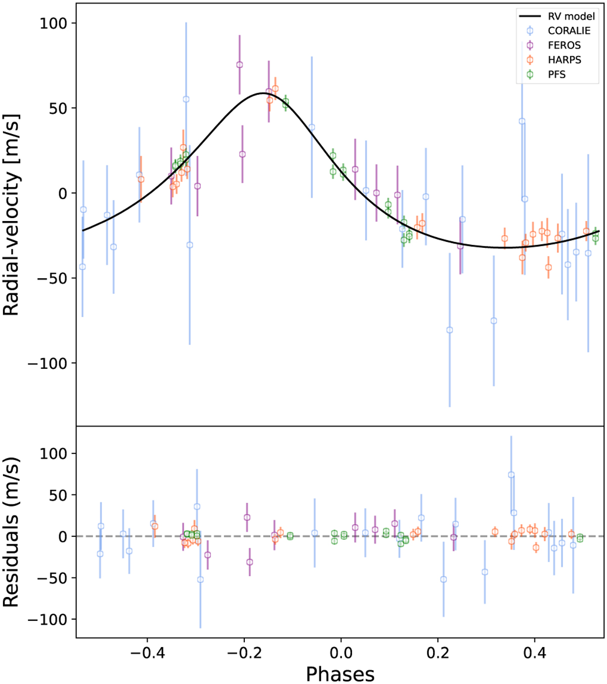
Phase-folded RV data for the NGTS-30/TOI-4862 system. Top: collected RV data with the joint planet model over-plotted in black. Bottom: RV residuals after subtracting the RV model. For clarity, a dashed grey line is plotted at zero on the residuals plot. The eccentricity of NGTS-30 b/TOI-4862 b’s orbit is clearly shown by the asymmetry of the RV model.
Current usage metrics show cumulative count of Article Views (full-text article views including HTML views, PDF and ePub downloads, according to the available data) and Abstracts Views on Vision4Press platform.
Data correspond to usage on the plateform after 2015. The current usage metrics is available 48-96 hours after online publication and is updated daily on week days.
Initial download of the metrics may take a while.