Fig. A.4.

Download original image
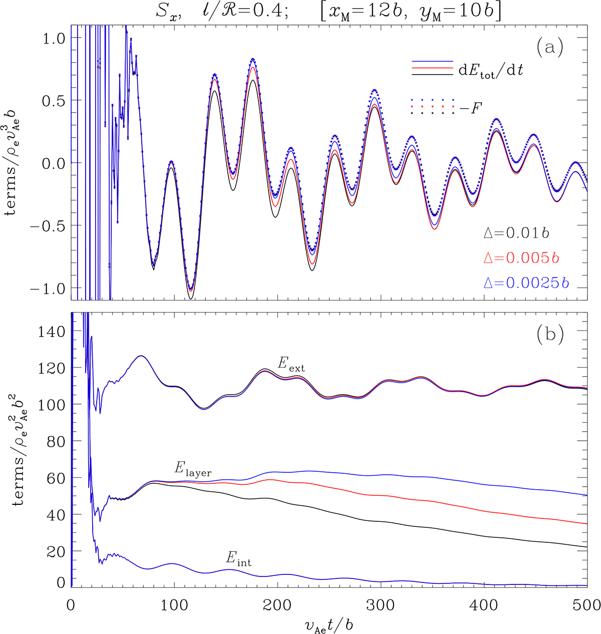
Temporal profiles of some energetics-related quantities for several grid spacings, as differentiated by different colors. Energetics are consistently examined for a box, [ − (d/2 + 1.2b),(d/2 + 1.2b)] × [ − 1.2b, 1.2b], in which the three mutually exclusive constituents are the tube interiors, nonuniform layers, and exterior. Shown in (a) are the time derivative of the total perturbation energy in the box (dEtot/dt, the solid curves), together with the instantaneous energy flux into this box (−F, asterisks). Further plotted in (b) are the instantaneous total energy in the interiors (Eint), nonuniform layers (Elayer), and the exterior (Eext). All computations pertain to the Sx pattern for a fixed combination of physical parameters [ρi/ρe = 5, ℓ/ℛ = 0.4, d/ℛ = 2.5, kb = π/30]. The computational domain size is fixed at [xM = 12b, yM = 10b].
Current usage metrics show cumulative count of Article Views (full-text article views including HTML views, PDF and ePub downloads, according to the available data) and Abstracts Views on Vision4Press platform.
Data correspond to usage on the plateform after 2015. The current usage metrics is available 48-96 hours after online publication and is updated daily on week days.
Initial download of the metrics may take a while.