Fig. 2.

Download original image
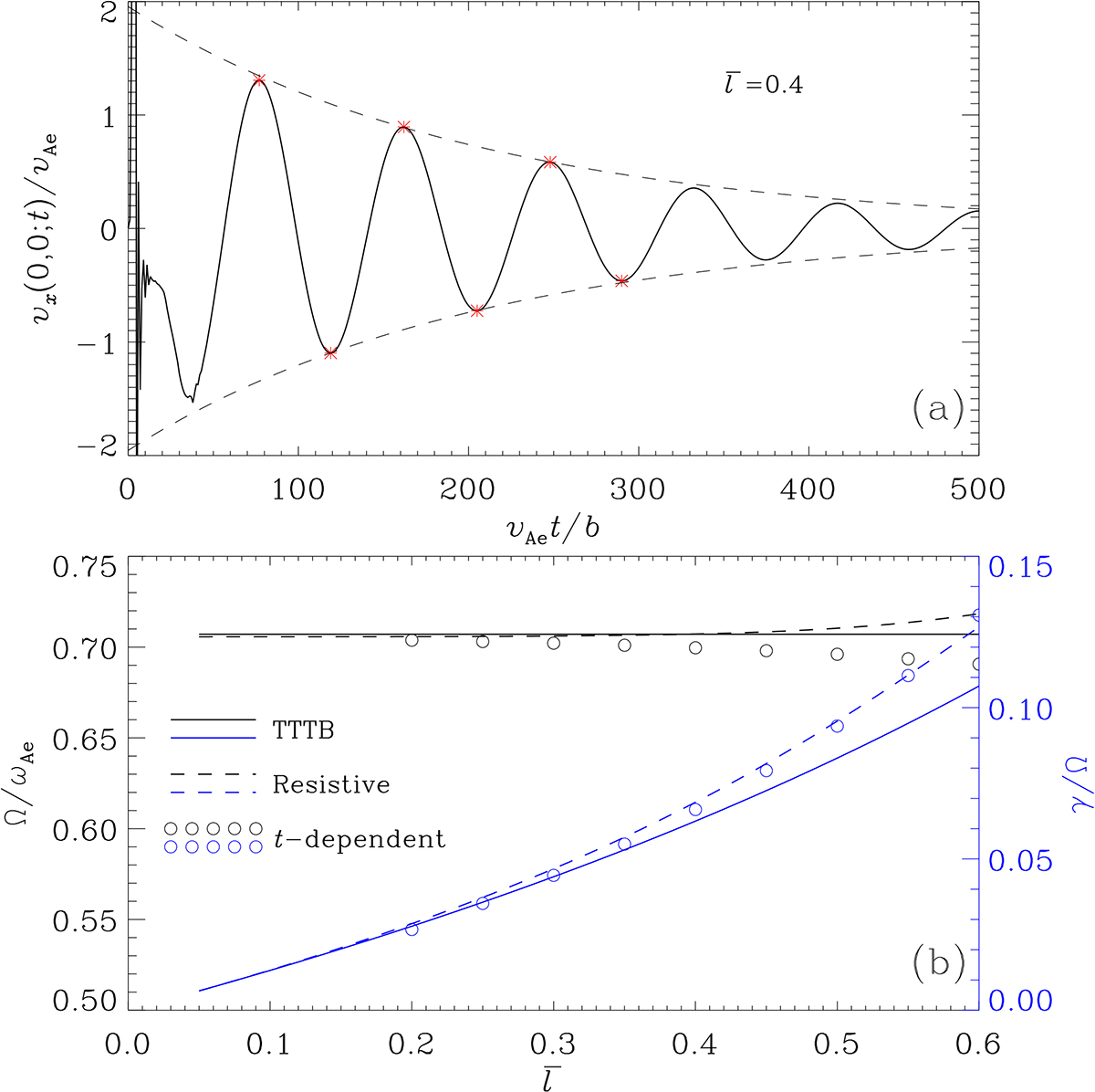
Kink motions in isolated tubes with circular cross sections for a fixed pair of density contrast and dimensionless axial wave numbers, [ρi/ρe = 3, kb = π/30]. A specific dimensionless layer width, , is examined in (a), the solid curve showing the x speed sampled at the tube center (vx(0, 0, t)). An exponentially damped cosine is employed to fit the segment encompassing the extrema shown by the red asterisks, with the resulting damping envelope plotted over the entire interval (the dashed curves). Presented in (b) are the
dependencies of the mode frequencies (Ω, the black curves and symbols) and the ratios of the decay rate to the frequency (γ/Ω, blue) obtained with various methods. The solid curves represent the analytical TTTB expectations with Eq. (25). No assumption about the tube length or layer width was imposed in the “Resistive” computations (the dashed curves) that evaluate ideal quasi-modes as resistive eigenmodes. The open circles show the best-fit results from our time-dependent computations, where kink motions are consistently excited with a perturbation given by Eq. (26).
Current usage metrics show cumulative count of Article Views (full-text article views including HTML views, PDF and ePub downloads, according to the available data) and Abstracts Views on Vision4Press platform.
Data correspond to usage on the plateform after 2015. The current usage metrics is available 48-96 hours after online publication and is updated daily on week days.
Initial download of the metrics may take a while.