Fig. 3.

Download original image
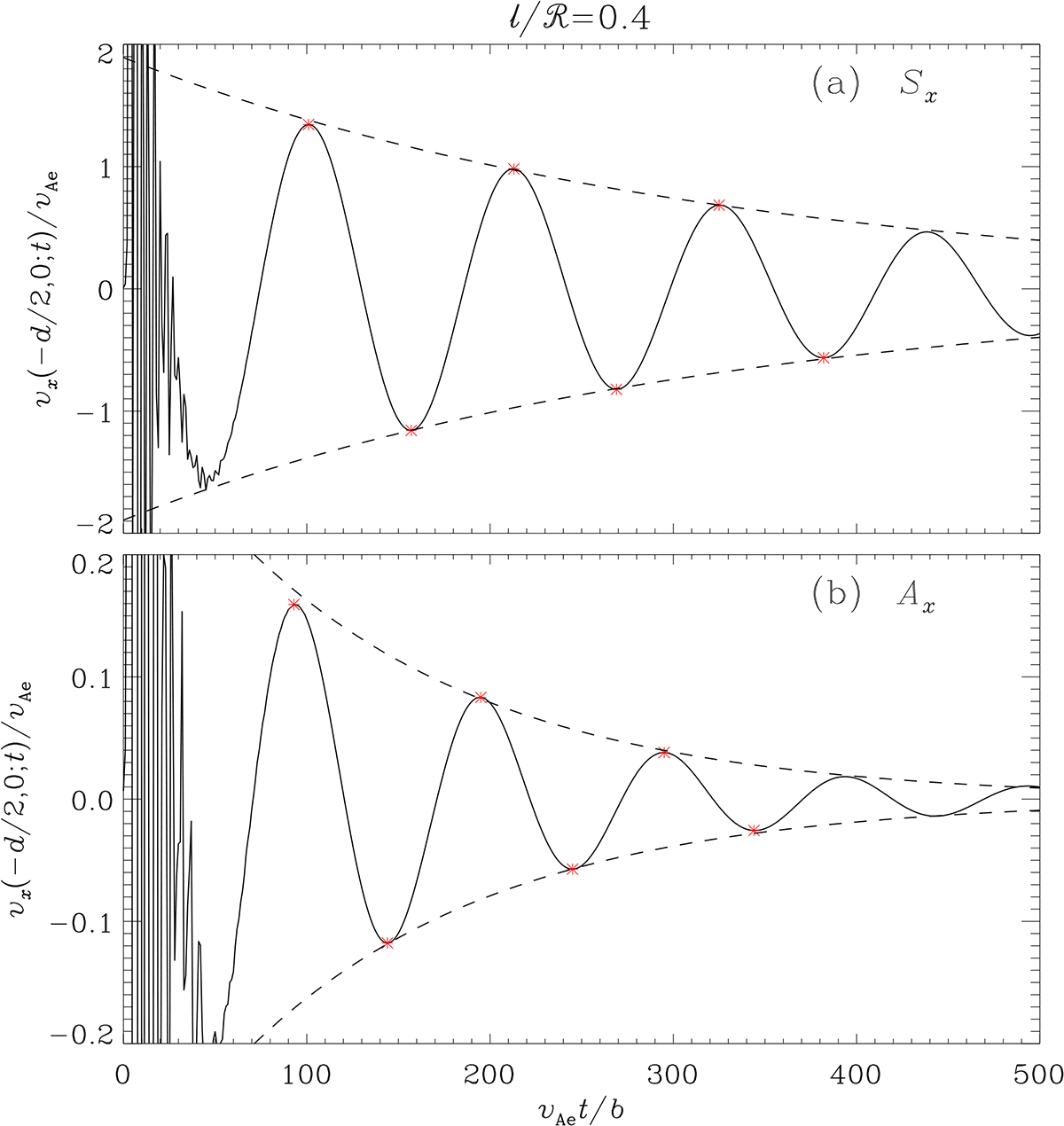
Kink motions with (a) Sx and (b) Ax patterns in a two-circular-tube configuration. Plotted are the time sequences of the x speed sampled at the left tube center (vx(−d/2, 0; t), the solid curves) together with the best-fit damping envelopes (dashed). The time-dependent computations pertain to a fixed combination, [ρi/ρe = 5, ℓ/ℛ = 0.4, d/ℛ = 2.5, kb = π/30], with ℓ and ℛ being the nonuniform layer width and mean tube radius implemented by Ruderman & Roberts (2002), respectively. A fitting procedure with an exponentially damped cosine was performed over the duration exactly encompassing the extrema indicated by the red asterisks, even though the best-fit envelopes are plotted for the entire time interval. Kink motions are excited with the perturbation described by Eq. (20) with appropriate signs.
Current usage metrics show cumulative count of Article Views (full-text article views including HTML views, PDF and ePub downloads, according to the available data) and Abstracts Views on Vision4Press platform.
Data correspond to usage on the plateform after 2015. The current usage metrics is available 48-96 hours after online publication and is updated daily on week days.
Initial download of the metrics may take a while.