Fig. 5.

Download original image
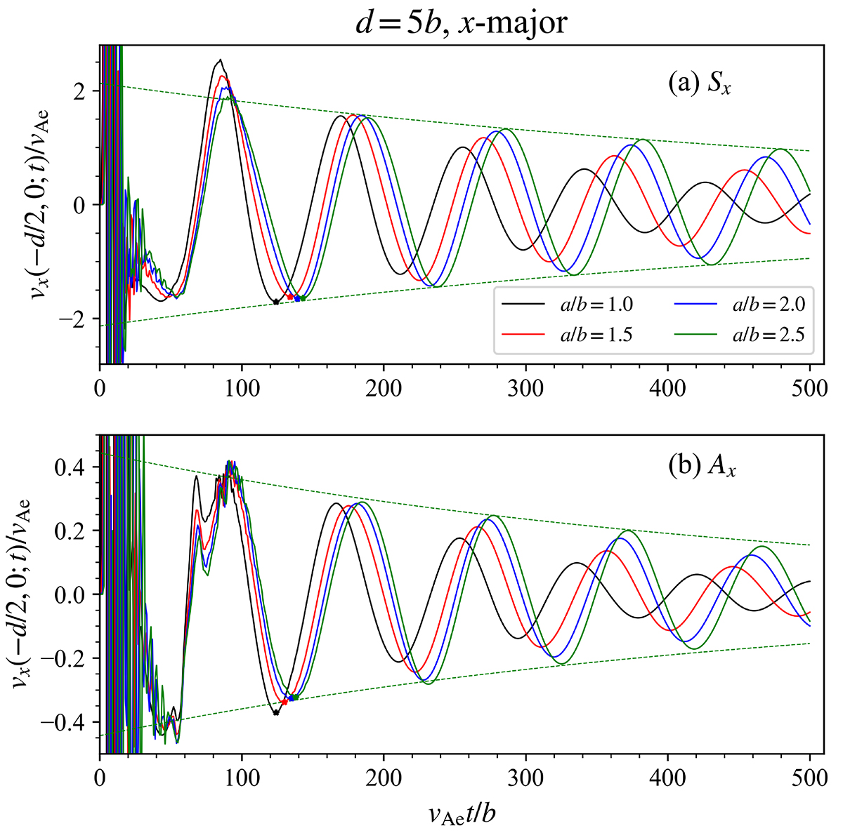
Kink motions with (a) Sx and (b) Ax patterns in a two-elliptic-tube configuration with an x-major orientation. Plotted are the time sequences of the x speed sampled at the left tube center (vx(−d/2, 0; t), the solid curves) for a number of ratios of the semi-major to semi-minor axis (a/b) distinguished with different colors. A fitting procedure was performed for each sequence, over the duration encompassing the six extrema, starting with the one denoted by an asterisk. The best-fit damping envelope is plotted for the entire sequence, but only for a/b = 2.5 to avoid overcrowding the plots. The computations pertain to a fixed combination, .
Current usage metrics show cumulative count of Article Views (full-text article views including HTML views, PDF and ePub downloads, according to the available data) and Abstracts Views on Vision4Press platform.
Data correspond to usage on the plateform after 2015. The current usage metrics is available 48-96 hours after online publication and is updated daily on week days.
Initial download of the metrics may take a while.