Fig. 7.

Download original image
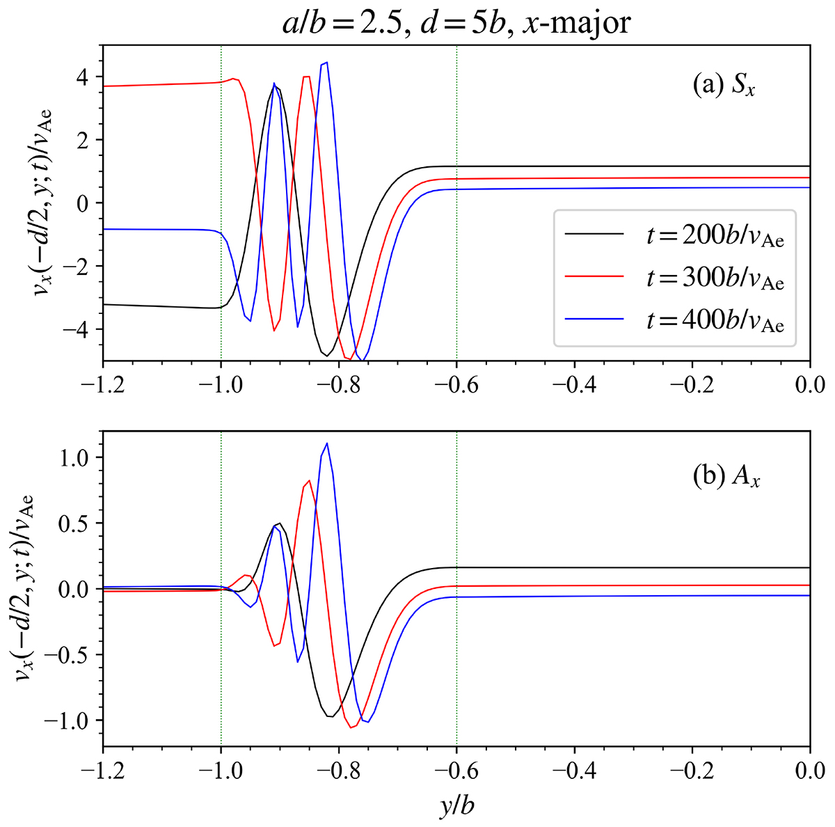
Distributions of the x speed along the y cut through the left tube center at a number of instants as labeled. Panels a and b correspond to the Sx and Ax motions, respectively. The vertical dotted lines represent the borders of the nonuniform layer. Only the lower half (y < 0) of a y profile is displayed, the other half being symmetric with respect to y = 0. All computations were conducted for the x-major orientation with a fixed combination of physical parameters .
Current usage metrics show cumulative count of Article Views (full-text article views including HTML views, PDF and ePub downloads, according to the available data) and Abstracts Views on Vision4Press platform.
Data correspond to usage on the plateform after 2015. The current usage metrics is available 48-96 hours after online publication and is updated daily on week days.
Initial download of the metrics may take a while.