Fig. 8.

Download original image
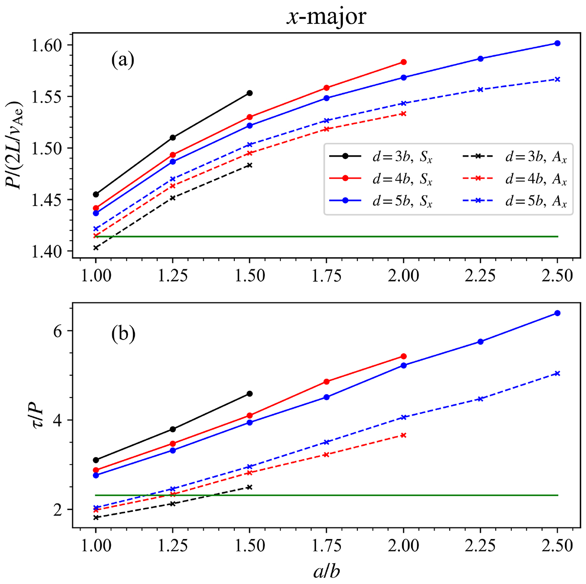
Dependencies of (a) the quasi-mode periods (P) and (b) damping-time-to-period ratios (τ/P) on the ratio of the semi-major to semi-minor axis (a/b) for kink motions in a two-elliptic-tube configuration with the x-major orientation. The Sx and Ax patterns are distinguished by the line styles. A number of dimensionless tube separations (d/b) are examined, as is differentiated by the different colors, with d/b constrained to avoid tube overlapping. All results pertain to a fixed combination of physical parameters, . The horizontal lines represent the results for an isolated circular tube with the same set of parameters.
Current usage metrics show cumulative count of Article Views (full-text article views including HTML views, PDF and ePub downloads, according to the available data) and Abstracts Views on Vision4Press platform.
Data correspond to usage on the plateform after 2015. The current usage metrics is available 48-96 hours after online publication and is updated daily on week days.
Initial download of the metrics may take a while.