Fig. 2.

Download original image
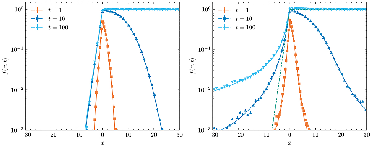
Fourier series (solid lines) and SDE (symbols) solution of the distribution function, f, for the shock setup with Gaussian diffusion (α = 2, left panel) and superdiffusion (α = 1.7, right panel). We took the parameters a = −1 (corresponding to an advection in positive x direction) and κα = 1, and f is given at times t1 = 1, t2 = 10, and t3 = 100. The dashed green line indicates the time-asymptotic steady state solution for Gaussian diffusion (Eq. (8)).
Current usage metrics show cumulative count of Article Views (full-text article views including HTML views, PDF and ePub downloads, according to the available data) and Abstracts Views on Vision4Press platform.
Data correspond to usage on the plateform after 2015. The current usage metrics is available 48-96 hours after online publication and is updated daily on week days.
Initial download of the metrics may take a while.