Fig. 1.

Download original image
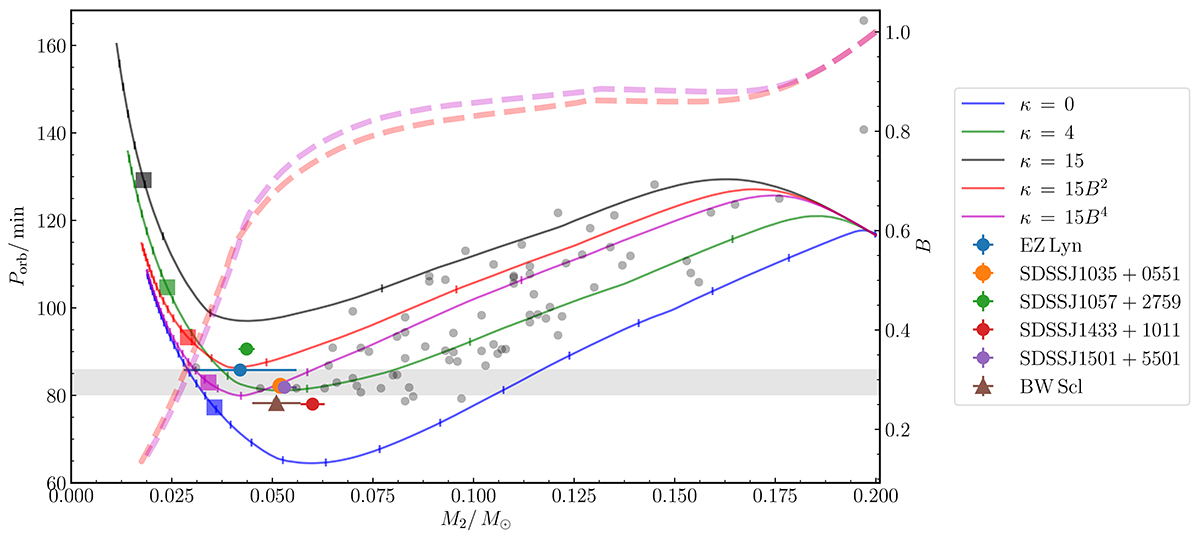
Evolution of CVs below the period gap. The solid lines show the tracks on the M2 − Porb plane (lower x- and left y-axis). The dashed tracks in the M2 − B plane (lower x- and right y-axis) show the evolution of B (Eq. (1)) for the models in which κ depends on stellar parameters. The ticks on each solid track denote timesteps of 300 Myr. The different colors correspond to different κs. The grey points are CVs reported by Knigge (2006, their Table 1). We also plot observed period bouncer candidates from Table B.1. Eclipsing systems are plotted as circles, while non-eclipsing systems are plotted as triangles. The horizontal shaded region is the observed period minimum spike (80 ≲ Porb/min ≲ 86) reported by Gänsicke et al. (2009). The squares of different colors show when the system has Ṁ2 = 10−11 M⊙ yr−1. During further evolution, the system is presumably undetectable (see text).
Current usage metrics show cumulative count of Article Views (full-text article views including HTML views, PDF and ePub downloads, according to the available data) and Abstracts Views on Vision4Press platform.
Data correspond to usage on the plateform after 2015. The current usage metrics is available 48-96 hours after online publication and is updated daily on week days.
Initial download of the metrics may take a while.