Fig. 3.

Download original image
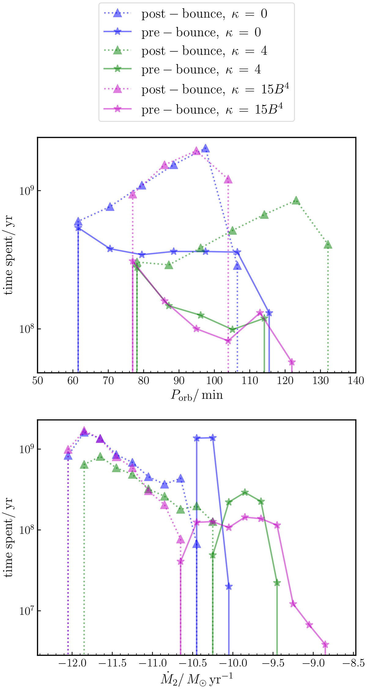
Distributions of the evolution time spent at each increment of Porb and Ṁ2 for three choices of κ. The stars denote pre-bouncers (M2 > M2(Porb = Pmin)) and triangles denote post-bouncers. Top panel: systems evolving from right to left as pre-bouncers (star symbols) and from left to right (triangles) post-bounce. Bottom panel: systems evolving from right to left.
Current usage metrics show cumulative count of Article Views (full-text article views including HTML views, PDF and ePub downloads, according to the available data) and Abstracts Views on Vision4Press platform.
Data correspond to usage on the plateform after 2015. The current usage metrics is available 48-96 hours after online publication and is updated daily on week days.
Initial download of the metrics may take a while.