Fig. 4.

Download original image
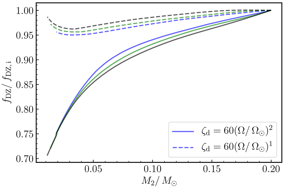
Evolution of the dead zone relative to that at the beginning of RLOF, fDZ/fDZ, i, with M2 for the models with constant κ. The colours denote the same models as in Figs. 1 and C.1, with κ = 0 shown in blue, κ = 4 in green, and κ = 15 in black. The line styles denote the choice of ζd. The dead zone for each track was calculated post-evolution using the method of Mestel & Spruit (1987).
Current usage metrics show cumulative count of Article Views (full-text article views including HTML views, PDF and ePub downloads, according to the available data) and Abstracts Views on Vision4Press platform.
Data correspond to usage on the plateform after 2015. The current usage metrics is available 48-96 hours after online publication and is updated daily on week days.
Initial download of the metrics may take a while.