Fig. B.1.

Download original image
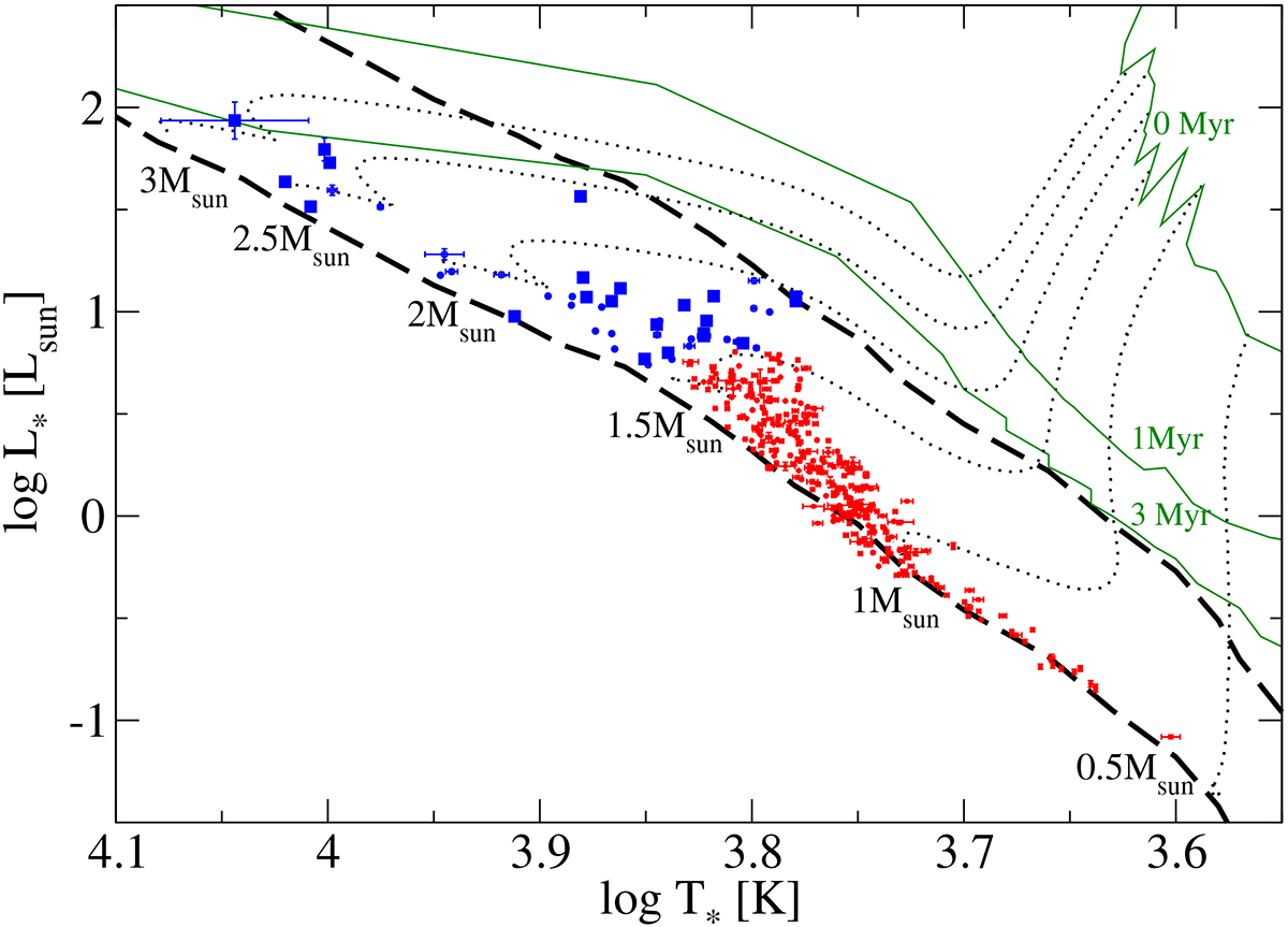
Stellar luminosity vs temperature for all TOIs in this work. Intermediate- and low-mass stars are in blue and red, respectively. Intermediate-mass stars hosting planets with candidate status in Table B.1 are indicated with squares. The evolution along the MS is bracketed by the dashed lines, the bottom line being the ZAMS and the top line the end of the MS phase. Representative pre-MS tracks (dotted lines with the corresponding stellar masses indicated) and isochrones at 0, 1 and 3 Myr (green solid lines) are also indicated.
Current usage metrics show cumulative count of Article Views (full-text article views including HTML views, PDF and ePub downloads, according to the available data) and Abstracts Views on Vision4Press platform.
Data correspond to usage on the plateform after 2015. The current usage metrics is available 48-96 hours after online publication and is updated daily on week days.
Initial download of the metrics may take a while.