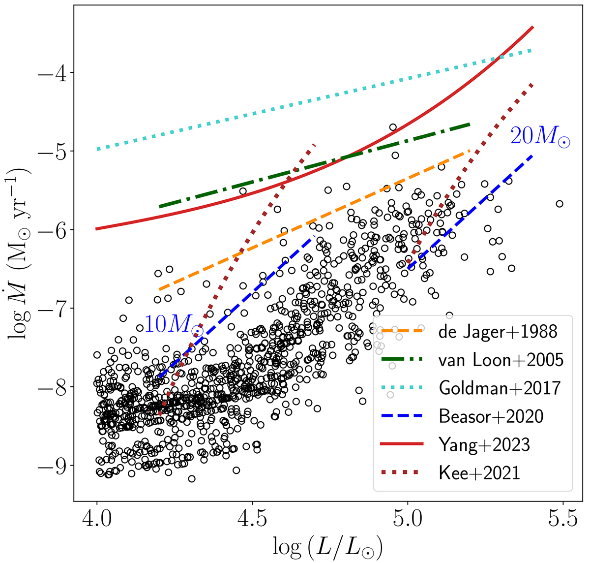
Fig. 15.

Download original image
Comparison of our Ṁ(L) result (open circles) with prescriptions from previous works presented in Table 4. The two lines from Beasor et al. (2020) correspond to an initial mass of 10 M⊙ and 20 M⊙, and the same holds for Kee et al. (2021), but represents the current mass.
Current usage metrics show cumulative count of Article Views (full-text article views including HTML views, PDF and ePub downloads, according to the available data) and Abstracts Views on Vision4Press platform.
Data correspond to usage on the plateform after 2015. The current usage metrics is available 48-96 hours after online publication and is updated daily on week days.
Initial download of the metrics may take a while.