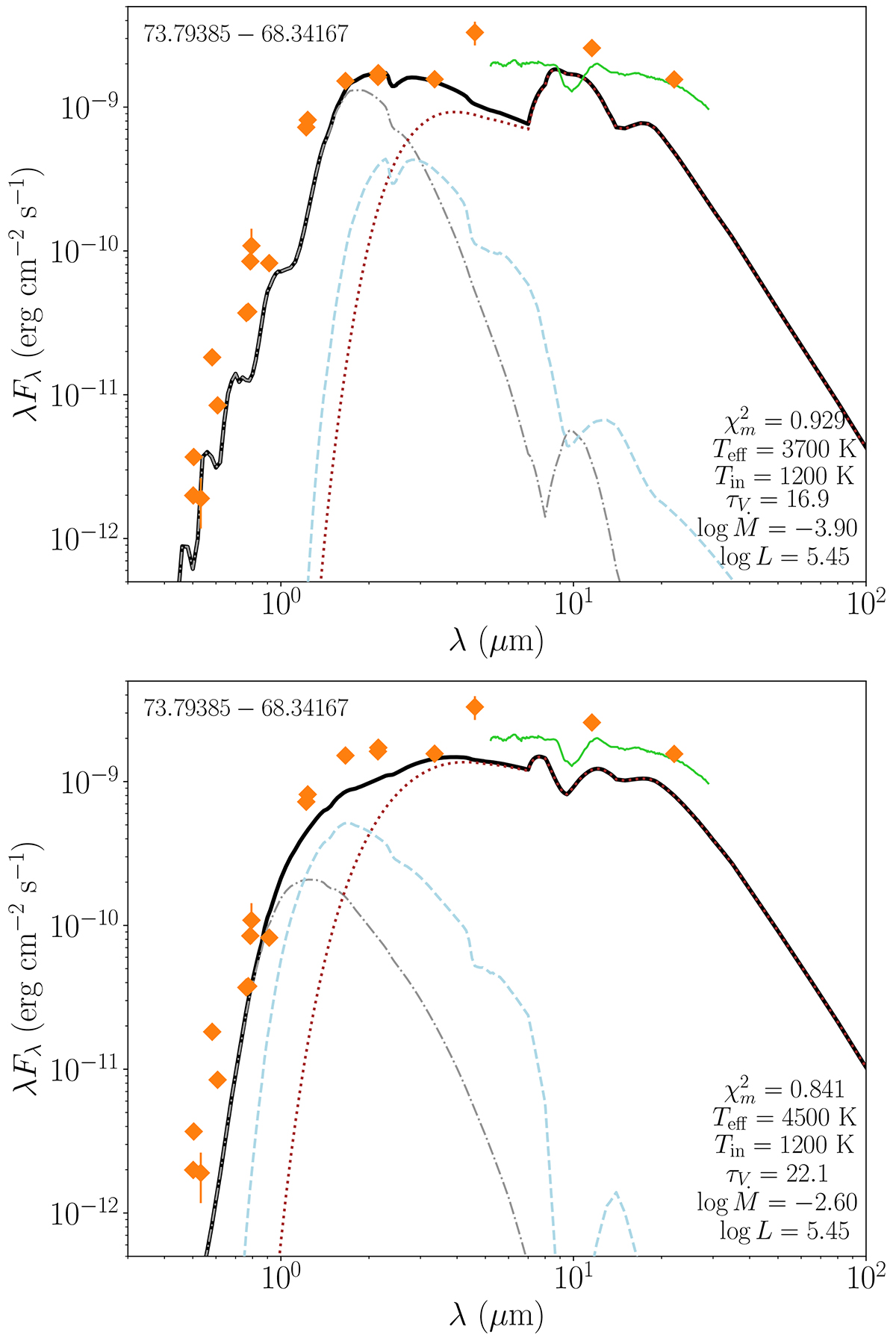
Fig. A.2.

Download original image
Two DUSTY SED models of WOH G64 with different grain size assumptions. The lines and symbols represent the same as in Fig. 5. Top: Grain size with a = 0.3 μm. Bottom: MRN distribution with 0.01 ≤ a ≤ 0.15 μm.
Current usage metrics show cumulative count of Article Views (full-text article views including HTML views, PDF and ePub downloads, according to the available data) and Abstracts Views on Vision4Press platform.
Data correspond to usage on the plateform after 2015. The current usage metrics is available 48-96 hours after online publication and is updated daily on week days.
Initial download of the metrics may take a while.