Fig. C.1.

Download original image
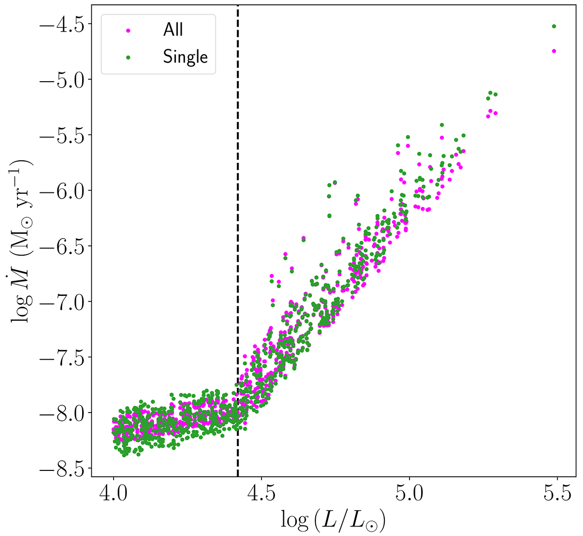
Derived Ṁ(L,Teff) from the complete RSG sample (magenta), as in Fig. 12, and from the single RSG sample with U − B > 0.7 mag (green). Both relations were applied to the single RSG sample for a one-to-one comparison.
Current usage metrics show cumulative count of Article Views (full-text article views including HTML views, PDF and ePub downloads, according to the available data) and Abstracts Views on Vision4Press platform.
Data correspond to usage on the plateform after 2015. The current usage metrics is available 48-96 hours after online publication and is updated daily on week days.
Initial download of the metrics may take a while.