Open Access
Fig. 6.

Download original image
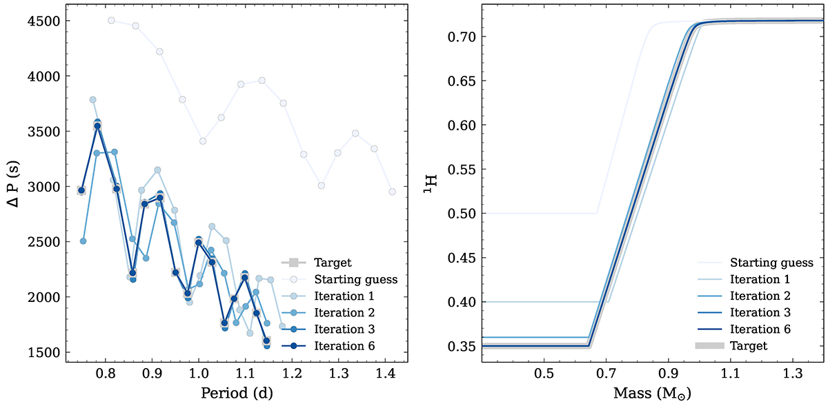
Left panel: example of the convergence of our inversion procedure for a model inside the parameter space. Right panel: convergence of the hydrogen abundance profile for the same model. Only the region close to the hydrogen region is shown, for clarity.
Current usage metrics show cumulative count of Article Views (full-text article views including HTML views, PDF and ePub downloads, according to the available data) and Abstracts Views on Vision4Press platform.
Data correspond to usage on the plateform after 2015. The current usage metrics is available 48-96 hours after online publication and is updated daily on week days.
Initial download of the metrics may take a while.